首页 > 其他 > 详细

斐波那契数列深入学习

时间:2015-07-30 16:44:42      阅读:232      评论:0      收藏:0      [点我收藏+]

问题定义:

具体文字定义就不多说了,网上有很多,下面给出数学公式描述(有时候会有一些变种,不过都大同小异):

f(0) = 1 , f(1) = 1, f(n) = f(n-1)+f(n-2) n>=2

1、递归求解

解决斐波那契问题,大多数人第一反应就是递归,思路简单清晰,代码易实现,不多说了,直接看代码。

1 long long int Fibonacci(int n)
2 {
3     if (n < 2) {
4         return 1;
5     }
6 
7     return Fibonacci(n-1) + Fibonacci(n-2);
8 }

2、尾递归求解

以上递归求解存在很严重的问题,不仅效率低下,而且当n稍微大一点,函数调用栈就会被占满,直接导致程序卡死,这是由于直接递归嵌套的函数调用层次太多,我们将代码稍加改动,改成尾递归,就可避免这种情况。代码如下:

 1  // num1和num2分别为数列第一和第二个数的值
 2  long long int Fibonacci(int n, long long int num1, long long int num2)
 3  {
 4      if (n == 0) {
 5          return num1;
 6      } else if (n == 1) {
 7          return num2;
 8      }
 9  
10      return Fibonacci(n-1, num2, num1+num2);
11  }

(关于尾递归的概念,这里不做详细解释。)

尾递归之所以效率高并且不会产生函数栈溢出,其原因就是每次递归都是直接进行函数调用返回,不做表达式计算,这样的形式有利于编译器优化为递推,也就是直接循环。若是觉得尾递归不太好写,我们可以直接写递推,代码如下:

 1 long long int Fibonacci(int n)
 2 {
 3     if (n < 2) {
 4         return 1;
 5     }
 6 
 7     long long int num1 = 1;
 8     long long int num2 = 1;
 9     for (int i=2; i<=n; ++i) {
10         long long int result = num1+num2;
11         num1 = num2;
12         num2 = result;
13     }
14 
15     return num2;
16 }

3、矩阵乘法

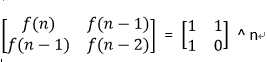
首先需要知道的是,矩阵乘法可以将大多数可以递推以线性时间解决的问题优化到O(logN)的时间复杂度。这里不再讲解数学推理(因为本人也懒得研究),直接上结论:

根据数学推理,可将f(n) = f(n-1) + f(n-2)转换为以下形式:

技术分享 

以上情况在n >= 2时成立。

因此,如果要求得f(n),只需要求公式右边矩阵的n次方,就可以得到结果,这样问题就转化为了矩阵乘方问题。

但如果从1到n循环做乘法,效率还是没有优化,这是我们可以根据乘方的特点来进行优化,如下:

an = an/2*an/2a  (n为偶数)

an = an/2*an/2*a (n为奇数)

根据上面规律,要求得a的n次方,只需要求出a的n/2次方,然后再做一次乘法即可得到结果,这样我们就将时间复杂度优化到O(logN)。

这是本人第一次看到有次解法,代码参考了其他网友的思路:

 1 // 矩阵结构体
 2 struct Matrix
 3 {
 4     Matrix(
 5         long long int m00,
 6         long long int m01,
 7         long long int m10,
 8         long long int m11
 9     )
10 
11         :M00(m00), M01(m01), M10(m10), M11(m11)
12     {
13     }
14 
15     long long int M00;
16     long long int M01;
17     long long int M10;
18     long long int M11;
19 };
20 
21 // 两矩阵相乘
22 Matrix MatrixMultiply(Matrix matrixA, Matrix matrixB)
23 {
24     Matrix matrixTmp(0, 0, 0, 0);
25 
26     matrixTmp.M00 = matrixA.M00*matrixB.M00 + matrixA.M01*matrixB.M10;
27     matrixTmp.M01 = matrixA.M00*matrixB.M01 + matrixA.M01*matrixB.M11;
28     matrixTmp.M10 = matrixA.M10*matrixB.M00 + matrixA.M11*matrixB.M10;
29     matrixTmp.M11 = matrixA.M10*matrixB.M01 + matrixA.M11*matrixB.M11;
30 
31     return matrixTmp;
32 }
33 
34 //矩阵乘方
35 Matrix MatrixPower(int n)
36 {
37     if (n < 2) {
38         return Matrix(1, 1, 1, 0);
39     }
40 
41     Matrix matrixTmp(1, 1, 1, 0);
42 
43     if (n % 2 == 0) {
44         matrixTmp = MatrixPower(n/2);
45         return MatrixMultiply(matrixTmp, matrixTmp);
46     } else {
47         matrixTmp = MatrixPower(n/2);
48         return MatrixMultiply(MatrixMultiply(matrixTmp, matrixTmp), Matrix(1, 1, 1, 0));
49     }
50 }
51 
52 // 计算斐波那契
53 long long int Fibonacci(int n)
54 {
55     if (n < 2) {
56         return 1;
57     }
58 
59     Matrix matrix = MatrixPower(n); 
60 
61     return matrix.M00;
62 }

 

斐波那契数列深入学习

原文:http://www.cnblogs.com/mhscn/p/4689501.html

(0)
(0)
   
举报
评论 一句话评论(0
关于我们 - 联系我们 - 留言反馈 - 联系我们:wmxa8@hotmail.com
© 2014 bubuko.com 版权所有
打开技术之扣,分享程序人生!