从学导数那天开始,就差不多接触到了牛顿法求解零点的精髓,那时局限于一维,且只是从几何上认识到它。
一、主要作用
(1)求零点
(2)优化(求最大最小值)
二、求零点
求f(x)=0.
解:如图,满足近似关系
斜率k=f‘(xn)
xn+1≈xn-f(xn)/k
解得:
xn+1≈xn-f(xn)/f‘(xn) ...(1)
三、优化
而对于优化问题,不过是求maxf(x).
解:题目等价于f‘(x)=0.
根据(1)式,有
xn+1≈xn-f’(xn)/f‘‘(xn) ...(2)
四、另外的证明(对于向量)
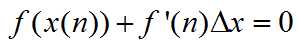
(1)求零点
展开成一阶泰勒,有

令

于是

又

得到

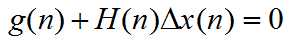
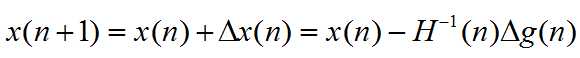
(2)优化(求最大最小值)
根据二阶泰勒公式

对Δx求导,得

解得

于是,有

这里,g(n)是f(n)的一阶导数,H(n)是f(n)的二阶导数。
参考文献
(1)http://blog.csdn.net/luoleicn/article/details/6527049
(2)《神经网络与机器学习》
原文:http://www.cnblogs.com/Wanggcong/p/4702692.html