线性表和树两类数据结构,线性表中的元素是“一对一”的关系,树中的元素是“一对多”的关系,本章所述的图结构中的元素则是“多对多”的关系。图(Graph)是一种复杂的非线性结构,在图结构中,每个元素都可以有零个或多个前驱,也可以有零个或多个后继,也就是说,元素之间的关系是任意的。

定义:图(Graph)是由顶点的有穷非空集合和顶点之间边的集合组成,通常表示为:G(V,E),其中,G表示一个图,V是图G中顶点的集合,E是图G中边的集合。
图是按照无方向和有方向分为无向图和有向图。
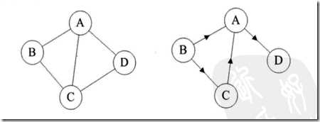
左图为无向图是由顶点和边构成,右图为有向图是由顶点和弧(有向边构成)。弧有弧头和弧尾区别。
按照边分为稀疏图和稠密图,这是个模糊的概念,同样是相对的概念。
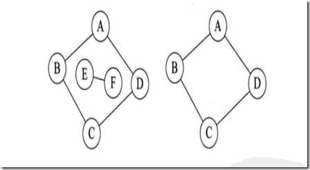
如果任意两个顶点之间都存在边叫完全图,有向的边叫有向完全图。如果无重复的边或者顶点到自身的边叫简单图。在用数学方式表示时,无向边用()表示,有向边用<>表示。现在我们讲解的图全是简单图。
左图没有重复的边或者到自身的边(简单图),右图则有。
这种边带权值的图叫网
顶点的度:顶点关联边的数目。有向图图中有,入度:方向指向顶点的边;出度:方向背向顶点的边。在有向图中顶点的度就是两者之和。
路径长度:路径上边或者弧的数目。
左图中,从B到D的路径度为2,在右图中就是3了(粗线的边)。
右图中A的入度是2,出度是1;B的入度为0,出度是2.
连通
在无向图G中,任意两个顶点是相通的就是连通图。
左图不是连通图,AE之间没有连通。
图的结构比价复杂,任意两个顶点之间都可能存在关系,不能用简单的顺序存储结构来表示。如果运用多重链表,即一个数据域多个指针域组成的结点表示图中一个结点,则造成大量存储单元浪费。
邻接矩阵用两个数组保存数据。一个一维数组存储图中顶点信息,一个二维数组存储图中边或弧的信息。
无向图中二维数组是个对称矩阵。
特点:
2、顶点的度是行内数组之和。
3、求取顶点邻接点,将行内元素遍历下。
有向图的邻接矩阵:有向图中讲究入度和出度,各行之和是出度,各列之和是入度。
带权的图叫网,用邻接矩阵表示为:
邻接表:数组和链表相结合的存储方法为邻接表。
从图中得知,顶点表的各个结点由data和Firstedge两个域表示,data是数据域,存储顶点信息,firstedge是指针域,指向边表的第一个结点,即顶点的第一个邻接点。边表结点由adjvex和next两个域组成。adjvex是邻接点域,存储某顶点的邻接点在顶点表中坐标,next存储边表中下一个结点指针。比如v1顶点与v2、v0互为邻接点,则在v1边表中,adjvex分别为0和2。
有向图也可以用邻接表,出度表叫邻接表,入度表尾逆邻接表。
在邻接表中针对有向图,分为邻接表和逆邻接表,导致无法从一个表中获取图的入读和出度的情况,有人提出了十字链表。
定点表:
其中firstin:入边表头指针,指向顶点入边表的第一个结点。
firstout:出边表头指针,指向顶点出边表第一个结点。
边表:
其中tailvex是指弧起点在顶点表的下标,headvex弧终点在顶点表的下标,headlink入边表指针域,指向终点相同的下一条边,taillink是指边表指针域,指向起点相同的下一条边。
邻接多重表结构如图:
ivex和jvex是与某条边依附的两个顶点在顶点表中的下标。ilink指向依附项点ivex的下一条边,jlink指向依附顶点jvex的下一条边。
#include <iostream> #define MAXVEX 100 //最大顶点数 #define INFINITY 65535 //最大权值 typedef int EdgeType; //权值类型自己定义 typedef char VertexType; //顶点类型自己定义 #pragma once #pragma region 邻接矩阵结构体 typedef struct { VertexType vex[MAXVEX]; //顶点表 EdgeType arg[MAXVEX][MAXVEX]; ///权值表-邻接矩阵 int numVertexes,numEdges; //图中的边数和顶点数 }GraphArray; #pragma endregion #pragma region 邻接表结构体 //边表结点 typedef struct EdgeNode { int nNodevex; //邻接点的点表中结点的坐标 EdgeType nNodeWeight; //用于网图中边的权值 EdgeNode* next; //链域,指向下一个邻接点 }EdgeNode,*pEdgeNode; //顶点表结点 typedef struct VertexNode { VertexType nNodeData; //顶点表中存储的数据 pEdgeNode pFirstNode; //顶点表和边表中关联指针,指向边表头指针 }VertexNode,pVertexNode,VertexList[MAXVEX]; //图结构 typedef struct { VertexList vertexList; int numVertess,numEdges; }GraphList; #pragma endregion class GraphData { public: GraphData(void); ~GraphData(void); #pragma region 创建邻接矩阵 void CreateGraphArray(GraphArray* pGraphArray,int numVer,int numEdegs); int GetGraphLocation(GraphArray* pGraphArrray,char chpoint); #pragma endregion #pragma region 创建邻接表 void CreateGraphList(GraphList* pList,int numVer,int numEdegs); int GetGraphListLocation(GraphList* pList,char chpoint); #pragma endregion };
#include "GraphData.h" GraphData::GraphData(void) { } GraphData::~GraphData(void) { } int GraphData::GetGraphLocation(GraphArray* pGraphArrray,char chpoint) { int i = 0; for (i = 0;i< pGraphArrray->numVertexes;i++) { if (pGraphArrray->vex[i] == chpoint) { break;; } } if (i >= pGraphArrray->numVertexes) { return -1; } return i; } /// <summary> /// 创建邻接矩阵 /// </summary> void GraphData::CreateGraphArray(GraphArray* pGraphArray,int numVer,int numEdegs) { int weight = 0; pGraphArray->numVertexes = numVer; pGraphArray->numEdges = numEdegs; //创建顶点表 for (int i= 0; i < numVer;i++) { pGraphArray->vex[i] = getchar(); while(pGraphArray->vex[i] == ‘\n‘) { pGraphArray->vex[i] = getchar(); } } //创建邻接表的边矩阵 for (int i = 0; i < numEdegs; i++) { for (int j = 0;j < numEdegs ; j++) { pGraphArray->arg[i][j] = INFINITY; } } for(int k = 0; k < pGraphArray->numEdges; k++) { char p, q; printf("输入边(vi,vj)上的下标i,下标j和权值:\n"); p = getchar(); while(p == ‘\n‘) { p = getchar(); } q = getchar(); while(q == ‘\n‘) { q = getchar(); } scanf("%d", &weight); int m = -1; int n = -1; m = GetGraphLocation(pGraphArray, p); n = GetGraphLocation(pGraphArray, q); if(n == -1 || m == -1) { fprintf(stderr, "there is no this vertex.\n"); return; } //getchar(); pGraphArray->arg[m][n] = weight; pGraphArray->arg[n][m] = weight; //因为是无向图,矩阵对称 } } #pragma region void GraphData::CreateGraphList(GraphList* pList,int numVer,int numEdegs) { int weight = 0; GraphList *pGraphList = pList; pGraphList->numVertess = numVer; pGraphList->numEdges = numEdegs; EdgeNode* firstNode,*secondNode; //创建顶点表 for (int i= 0; i < numVer;i++) { pGraphList->vertexList[i].nNodeData = getchar(); pGraphList->vertexList[i].pFirstNode = NULL; while(pGraphList->vertexList[i].nNodeData == ‘\n‘) { pGraphList->vertexList[i].nNodeData = getchar(); } } //创建边表 for(int k = 0; k < pGraphList->numEdges; k++) { char p, q; printf("输入边(vi,vj)上的下标i,下标j和权值:\n"); p = getchar(); while(p == ‘\n‘) { p = getchar(); } q = getchar(); while(q == ‘\n‘) { q = getchar(); } scanf("%d", &weight); int m = -1; int n = -1; m = GetGraphListLocation(pGraphList, p); n = GetGraphListLocation(pGraphList, q); if(n == -1 || m == -1) { fprintf(stderr, "there is no this vertex.\n"); return; } //getchar(); //字符p在顶点表的坐标为m,与坐标n的结点建立联系权重为weight firstNode = new EdgeNode(); firstNode->nNodevex = n; firstNode->next = pGraphList->vertexList[m].pFirstNode; firstNode->nNodeWeight = weight; pGraphList->vertexList[m].pFirstNode = firstNode; //第二个字符second secondNode = new EdgeNode(); secondNode->nNodevex = m; secondNode->next = pGraphList->vertexList[n].pFirstNode; secondNode->nNodeWeight = weight; pGraphList->vertexList[n].pFirstNode = secondNode; } } int GraphData::GetGraphListLocation(GraphList* pList,char chpoint) { GraphList *pGraphList = pList; int i = 0; for (i = 0;i< pGraphList->numVertess;i++) { if (pGraphList->vertexList[i].nNodeData == chpoint) { break;; } } if (i >= pGraphList->numVertess) { return -1; } return i; } #pragma endregion
#include <iostream> #include "GraphData.h" using namespace std; // void PrintGrgph(GraphList *pGraphList) { int i =0; while(pGraphList->vertexList[i].pFirstNode != NULL && i<MAXVEX) { printf("顶点:%c ",pGraphList->vertexList[i].nNodeData); EdgeNode *e = NULL; e = pGraphList->vertexList[i].pFirstNode; while(e != NULL) { printf("%d ", e->nNodevex); e = e->next; } i++; printf("\n"); } } int main() { int numVexs,numEdges; GraphData* pTestGraph = new GraphData(); GraphArray graphArray; GraphArray* pGraphArray = &graphArray; GraphList* pGgraphList = new GraphList(); cout<<"输入顶点数和边数"<<endl; cin>>numVexs>>numEdges; cout<<"顶点数和边数为:"<<numVexs<<numEdges<<endl; /*pTestGraph->CreateGraphArray(pGraphArray,numVexs,numEdges); for(int i = 0; i< numEdges;i++) { for (int j = 0;j< numEdges;j++) { cout<<pGraphArray->arg[i][j]; } cout<<endl; }*/ pTestGraph->CreateGraphList(pGgraphList,numVexs,numEdges); PrintGrgph(pGgraphList); system("pause"); }
原文:http://www.cnblogs.com/polly333/p/4760275.html