《全连接的BP神经网络》
本文主要描述全连接的BP神经网络的前向传播和误差反向传播,所有的符号都用Ng的Machine learning的习惯。下图给出了某个全连接的神经网络图。

分别计算第l层神经元的输入和输出;
向量整体形式:

分量形式:
向量整体形式:

分量形式:
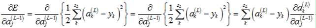
对于某一个输入样本,它的输出为
,它所对应的真实输出应该为
,那么,该样本对应的误差E为
(1)
注意到输出层的第k个神经元的输出
可以计算如下:
(2)
那么,误差E可以展开至隐藏层(第L-1层)的形式
(3)
又注意到隐藏层(第L-1层)的第j个神经元的输出
可以计算如下:
(4)
那么,误差E进一步展开至隐藏层(第L-2层)
(5)
可以发现,E是权值
的函数。
对于某一个输入样本,它的输出为
,它所对应的真实输出应该为
,那么,该样本对应的误差E为
(6)
注意到输出层的第k个神经元的输出
可以计算如下:
(7)
那么,误差E可以展开至隐藏层(第L-1层)的形式
(8)
又注意到隐藏层(第L-1层)的第j个神经元的输出
可以计算如下:
(9)
那么,误差E进一步展开至隐藏层(第L-2层)
(10)
可以发现,E是权值
和偏执项
的函数。

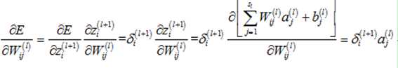
某一层的敏感度的定义为:网络的误差对该层的输入的偏导数,即
输出层(第L层)的第k个神经元的敏感度定义如下:
为了计算该敏感度,利用链式法则,引入中间变量
(第L层的第k个神经元的输出):
(11)
首先,计算
:

然后,计算
:

这里的f为sigmoid函数,有:
从而可以得到:
(12)
那么,第L层的所有神经元的敏感度为:
(13)
计算第L-1层的第j个神经元的敏感度,定义如下:
为了计算该敏感度,利用链式法则,引入中间变量
(第L-1层的第j个神经元的输出):
(14)
首先,计算
:

其中:
则有:
然后,计算
:
从而可以得到:
(15)
其中:
那么,第L-1层的所有神经元的敏感度为
(16)
以上推导是由第L层的敏感度计算第L-1层的敏感度,那么,利用递推方法可以得到第l层的敏感度的计算方法(l=L-1,…,2):
(17)
推导过程中,只有一处发生改变,即隐藏层的
计算式发生如下改变,但结果并没有改变,所以不会对最终的敏感度的计算公式造成影响:

此时的待优化参数只有权值矩阵中的元素,计算误差E对第l层的权值矩阵的偏导数:
对于其中的某一个元素,计算如下:

那么,整个求导矩阵计算如下:

即:
此时的待优化参数为权值矩阵中的元素和偏执项b;
首先计算误差E对第l层的权值矩阵的偏导数:
对于其中的某一个元素,计算如下:

那么,整个求导矩阵计算如下:

接下来,计算误差E对第l层的偏执项矩阵的偏导数:

对于其中的某一个元素,计算如下:

所以,整个偏执项求得到计算如下:

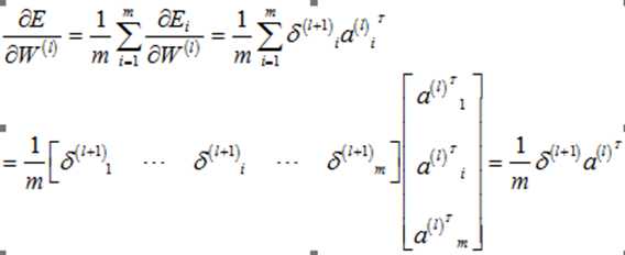
如前所述,对于单个样本而言,它的代价函数为E,现在有m个训练样本,它的代价函数应该为所有样本的代价函数的均值,用Ei表示第i个训练样本的代价函数(也就是前文一直使用的代价函数),E表示所有样本的代价函数,则它们有如下关系:
则有:
(18)
如果有偏执项b的话,则有
(19)
如果有m个样本,前面计算所得得到的
和
都是矩阵,它们的每一列是每个样本对应的第l层的敏感度和输出值。那么,可以按照如下方式计算m个样本所对应的梯度值:
(1)偏执项为1
(20)
(2)偏执项为b
(21)
(22)
加入了正则化项和稀疏项后的网络误差计算公式如下:
(23)
其中:

J1、J2和J3的计算方法分别如下:
第k个隐藏层中j个神经元的相对熵
的计算公式如下:
(24)
其中:
,
为第k个隐藏层中j个神经元相对于第i个输入样本的激励值,而
为第k个隐藏层中j个神经元相对于所有输入样本激励值的均值。
网络代价函数的偏导数:

其中:



(1)偏执项为1时
(25)
(2)偏执项为b时
(26)
加入了权值惩罚项和稀疏项后,输出层的敏感度计算不发生变化,而其余各层的敏感度公式变为如下:
(27)

利用式 (23)


利用式(26)计算代价函数对权值矩阵和偏执项的梯度

原文:http://www.cnblogs.com/lutingting/p/4760629.html