我们都知道,现实生活中的User-Item矩阵极大(User数量极大、Item数量极大),而用户的兴趣和消费能力有限,对单个用户来说消费的物品,产生评分记录的物品是极少的。这样造成了User-Item矩阵含有大量的空值,数据极为稀疏。矩阵分解的核心思想认为用户的兴趣只受少数几个因素的影响,因此将稀疏且高维的User-Item评分矩阵分解为两个低维矩阵,即通过User、Item评分信息来学习到的用户特征矩阵P和物品特征矩阵Q,通过重构的低维矩阵预测用户对产品的评分。由于用户和物品的特征向量维度比较低,因而可以通过梯度下降(Gradient Descend)的方法高效地求解,分解示意图如下所示。

如上所述,User-Item评分矩阵维度较高且极为稀疏,传统的奇异值分解方法只能对稠密矩阵进行分解,即不允许所分解矩阵有空值。因而,若采用奇异值分解,需要首先填充User-Item评分矩阵,显然,这样造成了两个问题。
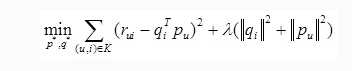
这些问题导致了传统的SVD矩阵分解表现并不理想。之后,Simon Funk在博客上公开发表了一个只考虑已有评分记录的矩阵分解方法,称为Funk-SVD,也就是被Yehuda Koren称为隐语义模型的矩阵分解方法。他简单地认为,既然我们的评价指标是均方根误差(Root Mean Squared Error, RMSE),那么可以直接通过训练集中的观察值利用最小化RMSE学习用户特征矩阵P和物品特征Q,并用通过一个正则化项来避免过拟合。其需要优化的函数为
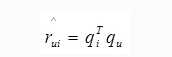
其中K为已有评分记录的(u,i)对集合,rui为用户u对物品i的真实评分,最后一项为防止过拟合的正则化项,λ为正则化系数。假设输入评分矩阵为R为M×N维矩阵,通过直接优化以上损失函数得到用户特征矩阵P(M×K)和物品特征矩阵Q(K×N),其中K?M,N。优化方法可以采用交叉最小二乘法或随机梯度下降方法。其评分预测方法为
其中pu和qi分别为用户u和物品i的特征向量,两者的内积即为所要预测的评分。
R = PQ,PQ的内积来表示预测的评分,用RMSE作评价,不过不分先后顺序:在最小化RMSE约束下,来分解R矩阵,加入正则化项,防止过拟合。
原文:http://www.cnblogs.com/hxsyl/p/4871977.html