首页 > 其他 > 详细

泛函与变分基础

时间:2015-10-24 15:48:14      阅读:387      评论:0      收藏:0      [点我收藏+]

 

基本概念

泛函

泛函是一个函数的表达式,取值取决于该表达式中的函数,泛函是函数的函数。

技术分享 

1)除了变量x外,泛函还可以包含其他的独立变量;

2)除函数y(x)外,泛函还可以包含有许多以上述独立变量为函数的其他函数(因变量);

3)泛函中,除了一阶导数外,还可以包含有高阶导数。

变分法

经典变分问题都是寻求一个问题的最优解答,其求解过程为“最优化”过程。

经典变分问题的求解方法和过程是泛函求极值的方法和过程。

研究泛函极值的方法就是所谓的变分法,研究泛函极值的近似方法就是所谓变分方法。

一阶变分

技术分享

函数F对变量x,y和y‘二次可微;

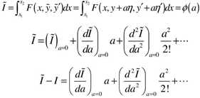
泛函I在两点之间的数值取决于两点间所选的路径,即函数y(x)。

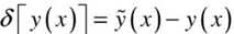
设存在函数y(x),使泛函I达到极值,其相邻路径为技术分享

y(x)称为“极值曲线”或“极值函数”,技术分享称为“可变路径”。

技术分享

技术分享是一可微函数,a为一微量的参变数。

技术分享

技术分享

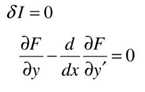
a=0时,为极值的必要条件为:

技术分享

 

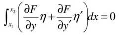
注意到

技术分享

技术分享 

 

技术分享

在两端点 技术分享= 0

技术分享

因为技术分享为任意函数

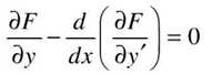
所以技术分享 即为欧拉—拉格朗日方程

 

 

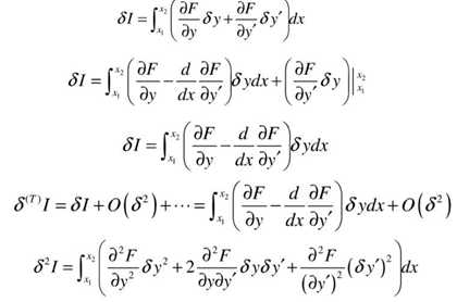
变分运算

引入“技术分享算子”,定义

技术分享

技术分享算子表示当独立变量x为一固定值时,因变量函数y的任意微小变化。

技术分享

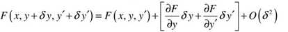
利用技术分享沿可变曲线将F写成:技术分享

在任意x处,将F展开成关于y和y`的泰勒级数:

技术分享

F的全变分:

技术分享

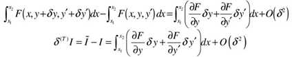
一阶变分:

技术分享

技术分享

技术分享

I取极值的条件:

技术分享 

 

具有多个因变量:

技术分享

技术分享

含有高阶导数:

技术分享

技术分享Euler-Poisson方程

泛函与变分基础

原文:http://www.cnblogs.com/MagicXYoung/p/4906606.html

(0)
(0)
   
举报
评论 一句话评论(0
关于我们 - 联系我们 - 留言反馈 - 联系我们:wmxa8@hotmail.com
© 2014 bubuko.com 版权所有
打开技术之扣,分享程序人生!