首页 > 其他 > 详细

浅谈压缩感知(五):单像素相机

时间:2015-11-25 10:59:25      阅读:394      评论:0      收藏:0      [点我收藏+]

前面介绍了关于压缩感知的一些理论知识,这里介绍压缩感知最简单最开始的应用——单像素相机Single Pixel Camera。

1、单像素相机的模型与结构:

如下图所示:

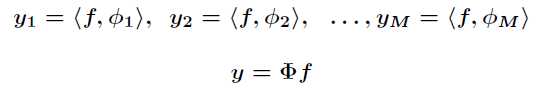
PD是光感器件(即单像素),对应公式中的yi;

场景图像对应公式中的f;

DMD是数字微镜阵列,用来生成测量矩阵,每一次对应公式中的Φ其中一行。

技术分享

技术分享

实际的实验场景:

技术分享

2、单像素相机的重建结果

技术分享

技术分享

浅谈压缩感知(五):单像素相机

原文:http://www.cnblogs.com/AndyJee/p/4993808.html

(0)
(0)
   
举报
评论 一句话评论(0
关于我们 - 联系我们 - 留言反馈 - 联系我们:wmxa8@hotmail.com
© 2014 bubuko.com 版权所有
打开技术之扣,分享程序人生!