首页 > 其他 > 详细

SVM(三),支持向量机,线性不可分和核函数

时间:2015-11-26 12:38:11      阅读:439      评论:0      收藏:0      [点我收藏+]

3.1 线性不可以分

我们之前讨论的情况都是建立在样例线性可分的假设上,当样例线性不可分时,我们可以尝试使用核函数来将特征映射到高维,这样很可能就可分了。然而,映射后我们也不能100%保证可分。那怎么办呢,我们需要将模型进行调整,以保证在不可分的情况下,也能够尽可能地找出分隔超平面。

看下面两张图:

技术分享

可以看到一个离群点(可能是噪声)可以造成超平面的移动,间隔缩小,可见以前的模型对噪声非常敏感。再有甚者,如果离群点在另外一个类中,那么这时候就是线性不可分了。

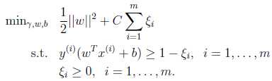
这时候我们应该允许一些点游离并在在模型中违背限制条件(函数间隔大于1)。我们设计得到新的模型如下(也称软间隔):

技术分享

引入非负参数技术分享后(称为松弛变量),就允许某些样本点的函数间隔小于1,即在最大间隔区间里面,或者函数间隔是负数,即样本点在对方的区域中。而放松限制条件后,我们需要重新调整目标函数,以对离群点进行处罚,目标函数后面加上的技术分享就表示离群点越多,目标函数值越大,而我们要求的是尽可能小的目标函数值。这里的C是离群点的权重,C越大表明离群点对目标函数影响越大,也就是越不希望看到离群点。我们看到,目标函数控制了离群点的数目和程度,使大部分样本点仍然遵守限制条件。

模型修改后,拉格朗日公式也要修改如下:

技术分享

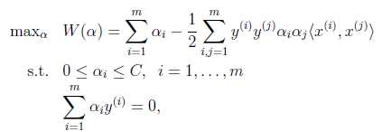
这里的技术分享技术分享都是拉格朗日乘子,回想我们在拉格朗日对偶中提到的求法,先写出拉格朗日公式(如上),然后将其看作是变量w和b的函数,分别对其求偏导,得到w和b的表达式。然后代入公式中,求带入后公式的极大值。整个推导过程类似以前的模型,这里只写出最后结果如下:

技术分享

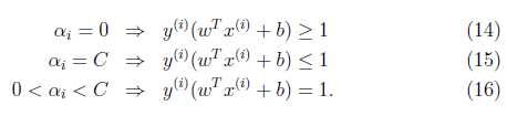
此时,我们发现没有了参数技术分享,与之前模型唯一不同在于技术分享又多了技术分享的限制条件。需要提醒的是,b的求值公式也发生了改变,改变结果在SMO算法里面介绍。先看看KKT条件的变化:

技术分享

第一个式子表明在两条间隔线外的样本点前面的系数为0,离群样本点前面的系数为C,而支持向量(也就是在超平面两边的最大间隔线上)的样本点前面系数在(0,C)上。通过KKT条件可知,某些在最大间隔线上的样本点也不是支持向量,相反也可能是离群点。

10 坐标上升法(Coordinate ascent)

在最后讨论技术分享的求解之前,我们先看看坐标上升法的基本原理。假设要求解下面的优化问题:

技术分享

这里W是技术分享向量的函数。之前我们在回归中提到过两种求最优解的方法,一种是梯度下降法,另外一种是牛顿法。现在我们再讲一种方法称为坐标上升法(求解最小值问题时,称作坐标下降法,原理一样)。

方法过程:

技术分享

最里面语句的意思是固定除技术分享之外的所有技术分享,这时W可看作只是关于技术分享的函数,那么直接对技术分享求导优化即可。这里我们进行最大化求导的顺序i是从1到m,可以通过更改优化顺序来使W能够更快地增加并收敛。如果W在内循环中能够很快地达到最优,那么坐标上升法会是一个很高效的求极值方法。

下面通过一张图来展示:

技术分享

椭圆代表了二次函数的各个等高线,变量数为2,起始坐标是(2,-2)。图中的直线式迭代优化的路径,可以看到每一步都会向最优值前进一步,而且前进路线是平行于坐标轴的,因为每一步只优化一个变量。

 

3.2 核函数(Kernels)

定义 3.1 (核或正定核)设是中的一个子集,称定义在上的函数是核函数,如果存在一个从到Hilbert空间的映射

(1.1)

使得对任意的,

都成立。其中表示Hilbert空间中的内积。

 

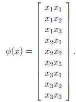
考虑我们最初在“线性回归”中提出的问题,特征是房子的面积x,这里的x是实数,结果y是房子的价格。假设我们从样本点的分布中看到x和y符合3次曲线,那么我们希望使用x的三次多项式来逼近这些样本点。那么首先需要将特征x扩展到三维技术分享,然后寻找特征和结果之间的模型。我们将这种特征变换称作特征映射(feature mapping)。映射函数称作技术分享,在这个例子中

技术分享

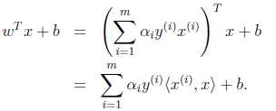
我们希望将得到的特征映射后的特征应用于SVM分类,而不是最初的特征。这样,我们需要将前面技术分享公式中的内积从技术分享,映射到技术分享

至于为什么需要映射后的特征而不是最初的特征来参与计算,上面提到的(为了更好地拟合)是其中一个原因,另外的一个重要原因是样例可能存在线性不可分的情况,而将特征映射到高维空间后,往往就可分了。(在《数据挖掘导论》Pang-Ning Tan等人著的《支持向量机》那一章有个很好的例子说明)

将核函数形式化定义,如果原始特征内积是技术分享,映射后为技术分享,那么定义核函数(Kernel)为

技术分享

到这里,我们可以得出结论,如果要实现该节开头的效果,只需先计算技术分享,然后计算技术分享即可,然而这种计算方式是非常低效的。比如最初的特征是n维的,我们将其映射到技术分享维,然后再计算,这样需要技术分享的时间。那么我们能不能想办法减少计算时间呢?

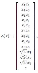
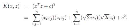
先看一个例子,假设x和z都是n维的,

技术分享

展开后,得

技术分享

这个时候发现我们可以只计算原始特征x和z内积的平方(时间复杂度是O(n)),就等价与计算映射后特征的内积。也就是说我们不需要花技术分享时间了。

现在看一下映射函数(n=3时),根据上面的公式,得到

技术分享

也就是说核函数技术分享只能在选择这样的技术分享作为映射函数时才能够等价于映射后特征的内积。

再看一个核函数

技术分享

对应的映射函数(n=3时)是

技术分享

更一般地,核函数技术分享对应的映射后特征维度为技术分享。(求解方法参见http://zhidao.baidu.com/question/16706714.html)。

由于计算的是内积,我们可以想到IR中的余弦相似度,如果x和z向量夹角越小,那么核函数值越大,反之,越小。因此,核函数值是技术分享技术分享的相似度。

再看另外一个核函数

技术分享

这时,如果x和z很相近(技术分享),那么核函数值为1,如果x和z相差很大(技术分享),那么核函数值约等于0。由于这个函数类似于高斯分布,因此称为高斯核函数,也叫做径向基函数(Radial Basis Function 简称RBF)。它能够把原始特征映射到无穷维。

既然高斯核函数能够比较x和z的相似度,并映射到0到1,回想logistic回归,sigmoid函数可以,因此还有sigmoid核函数等等。

下面有张图说明在低维线性不可分时,映射到高维后就可分了,使用高斯核函数。

技术分享

来自Eric Xing的slides

注意,使用核函数后,怎么分类新来的样本呢?线性的时候我们使用SVM学习出w和b,新来样本x的话,我们使用技术分享来判断,如果值大于等于1,那么是正类,小于等于是负类。在两者之间,认为无法确定。如果使用了核函数后,技术分享就变成了技术分享,是否先要找到技术分享,然后再预测?答案肯定不是了,找技术分享很麻烦,回想我们之前说过的

技术分享

只需将技术分享替换成技术分享,然后值的判断同上。

 核函数有效性判定

问题:给定一个函数K,我们能否使用K来替代计算技术分享,也就说,是否能够找出一个技术分享,使得对于所有的x和z,都有技术分享

比如给出了技术分享,是否能够认为K是一个有效的核函数。

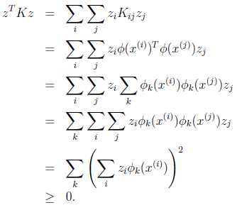
下面来解决这个问题,给定m个训练样本技术分享,每一个技术分享对应一个特征向量。那么,我们可以将任意两个技术分享技术分享带入K中,计算得到技术分享。I可以从1到m,j可以从1到m,这样可以计算出m*m的核函数矩阵(Kernel Matrix)。为了方便,我们将核函数矩阵和技术分享都使用K来表示。

如果假设K是有效地核函数,那么根据核函数定义

技术分享

可见,矩阵K应该是个对称阵。让我们得出一个更强的结论,首先使用符号技术分享来表示映射函数技术分享的第k维属性值。那么对于任意向量z,得

技术分享

最后一步和前面计算技术分享时类似。从这个公式我们可以看出,如果K是个有效的核函数(即技术分享技术分享等价),那么,在训练集上得到的核函数矩阵K应该是半正定的(技术分享

这样我们得到一个核函数的必要条件:

K是有效的核函数 ==> 核函数矩阵K是对称半正定的。

可幸的是,这个条件也是充分的,由Mercer定理来表达。

Mercer定理:

如果函数K是技术分享上的映射(也就是从两个n维向量映射到实数域)。那么如果K是一个有效核函数(也称为Mercer核函数),那么当且仅当对于训练样例技术分享,其相应的核函数矩阵是对称半正定的。

Mercer定理表明为了证明K是有效的核函数,那么我们不用去寻找技术分享,而只需要在训练集上求出各个技术分享,然后判断矩阵K是否是半正定(使用左上角主子式大于等于零等方法)即可。

许多其他的教科书在Mercer定理证明过程中使用了技术分享范数和再生希尔伯特空间等概念,但在特征是n维的情况下,这里给出的证明是等价的。

核函数不仅仅用在SVM上,但凡在一个模型后算法中出现了技术分享,我们都可以常使用技术分享去替换,这可能能够很好地改善我们的算法。

 
 

SVM(三),支持向量机,线性不可分和核函数

原文:http://www.cnblogs.com/Yiutto/p/4997064.html

(0)
(0)
   
举报
评论 一句话评论(0
关于我们 - 联系我们 - 留言反馈 - 联系我们:wmxa8@hotmail.com
© 2014 bubuko.com 版权所有
打开技术之扣,分享程序人生!