1:
问题如下:
求 a^n % m 的值是多少?n是1到10^18次方的一个整数。
求一个数的n次方,朴素的算法就是直接for循环,O(N)的复杂度。
但是对于这个问题n实在是太大了,O(N)也会超时,那么需要更快的算法,快速幂算法。
要求 a^n,如果知道了 a^(n/2) 次方的话,再来个平方就可以了。
那么按照这个思路就能运用分治的思想了。
代码如下:
1 int _pow(int a,long long n,int m) { 2 if(n==0) return 1 % m; 3 4 long long t=_pow(a,n/2,m); 5 6 if(n%2==1) return (t*t*a) % m; 7 else return (t*t) % m; 8 }
如上运用分治的思想,只需要logN的复杂度就可以得到答案。
2:
问题如下:
f(1)=1, f(2)=1 , f(n)=a*f(n-1)+b*f(n-2),输出n和m,求 f(n) % m 的值。n是1到10^18次方的数。
朴素的想法同上,直接一个for循环递推过去,这样复杂度是O(N)的,还是比较慢。
然后想到高中的数学问题,用特征方程求这个递推式的非递推通项方程,求出是 f(n)=c1*x1^n+c2*x2^n ,这样的话应用前面的快速幂就可以求解了。
但是x1和x2大部分情况是小数,这是求出来会有误差而且没法取模,并不能算出精确值来。
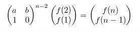
考虑矩阵这种数学工具,构造矩阵:

则求 f(n) 的话如下:

那么只要用快速幂求出矩阵的n-2次方来,因为都是整数,所以不会有精度问题,也就得到了正确答案。
也就是矩阵快速幂。
3,快速乘:
问题:
求 (a*b) % m 的值,其中 a,b,m 是1到10^18。
如果直接乘的话,因为a和b还有m都很大,那么会溢出long long,所以需要一些方法。
朴素的想法是用数组模拟高精度,但是比较麻烦。
还有更好的方法:
求乘法的列竖式,

1234*213=1234*3+1234*10*1+1234*10^2*2;
那么如果变成二进制的话 10101 × 1011 = 10101*1+10101*2^1*1+10101*2^2*0+10101*2^3*1;
这样代码如下:
1 long long multi(long long a,long long b,long long m) { 2 long long ans=0; 3 4 while(b) { 5 if(b&1) (ans+=a) %= m; 6 (a=a*2) %= m; 7 b/=2; 8 } 9 10 return ans; 11 }
就是模拟了二进制的竖式乘法,因为每次最多×2,所以不会溢出。
这样的复杂度是 logN 的。
原文:http://www.cnblogs.com/whywhy/p/5066730.html