首页 > 其他 > 详细

狄利克雷过程

时间:2016-01-21 10:38:43      阅读:203      评论:0      收藏:0      [点我收藏+]

官方定义:令技术分享 表示一个可测的参数空间,技术分享 描述某一个类别的参数。令H是空间技术分享 上的一个概率测度,技术分享 表示一个正实数。对于空间技术分享上的任意一个有限分割技术分享 :技术分享 如果空间技术分享上的一个随机概率分布G在这个分割中各部分上的测度服从一个狄利克雷分布:

技术分享 ,

那么我们就称随机概率分布G 服从狄利克雷过程,记为技术分享 .

我们把技术分享 叫做集中度参数,把H叫做基分布。

解读:

测度的通俗理解就是给一个空间中的每个子集一个度量,即一个实数来衡量各个子集。最直观的例子是用长度来衡量一个一维实数集合,这里的长度就是一种测度。

概率测度是指在空间中定义的测度满足概率的性质,即每个子集的测度大于零,所有子集加和为1。

对于式子 技术分享:表示了这个分割是不重叠地充满整个空间。

对比狄利克雷分布分布的定义 技术分享 ,狄利克雷过程就是把技术分享每一个技术分享 都看成一个概率分布G,而G 的参数技术分享 是属于参数空间技术分享的。

当我们取空间的一个子集,即T取技术分享 时,狄利克雷过程技术分享就会退化成一个狄利克雷分布分布技术分享。也就是说分布描述了一种划分下G的分布情况,而过程描述了空间中所有划分的情况。

性质:

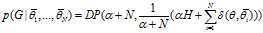
如果技术分享,当观察到N个独立的来自G的样本技术分享,G的后验分布仍然是一个狄利克雷过程:

技术分享

以上是狄利克雷过程的定义,构造狄利克雷过程的常见方法有三种:

断棍构造过程(Stick-Breaking Construction);

波利亚翁方案(Polya Urn Scheme)也叫(Blackwell-MacQueen 方案);

中餐馆过程(Chinese Restaurant Process),CRP ;

 

狄利克雷过程

原文:http://www.cnblogs.com/simayuhe/p/5147231.html

(0)
(0)
   
举报
评论 一句话评论(0
关于我们 - 联系我们 - 留言反馈 - 联系我们:wmxa8@hotmail.com
© 2014 bubuko.com 版权所有
打开技术之扣,分享程序人生!