首页 > 其他 > 详细

断棍构造过程-波利亚翁方案-中餐馆过程

时间:2016-01-21 12:02:53      阅读:461      评论:0      收藏:0      [点我收藏+]

介绍三种构造狄利克雷过程的方法

  1. 断棍构造过程(Stick-Breaking Construction)

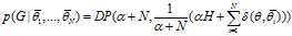
给出了一种显式采样方法,即构造一个有明确定义的G ,使得G满足狄利克雷过程。

构造:第一步,给定一个正实数技术分享 ,先从beta分布中构造一个技术分享技术分享,这里k从1到技术分享 ;再利用技术分享构造一个技术分享技术分享。之所以要这样得到技术分享是为了让技术分享 ,即我们希望得到一个概率质量函数。

    第二步,从参数空间技术分享 中的一个基分布H 中采样一个参数序列技术分享 ,这个技术分享 是服从分布H的。

    第三步,把他们合在一起构成离散分布技术分享 ,这便是狄利克雷过程的一个采样。

记为技术分享 ~GEM(技术分享 ).

  1. 波利亚翁方案

这种方法并不去显式的构造分布G,而是根据后验分布的性质技术分享

方法:从狄利克雷过程当中观察得到N个观测值技术分享时,这些技术分享 的取值可能有K个不同值,记作技术分享,那么下一个观测值技术分享的条件分布为:

技术分享,注意这里只取了分布中的期望部分,技术分享 是取值为技术分享 的个数。

这个东西有一个形象的理解:我们要从一个翁和一个分布H中取彩球,从翁中取球的概率正比于翁中球的个数,从H中取球的概率正比于技术分享 。刚开始的时候翁是空的,从H中取球技术分享,放进翁中。如果球是从翁中取出的就放进一只同样颜色的球,这样每次取出颜色为技术分享的球的概率就正比于翁中已有的颜色为技术分享 的球。

  1. 中餐馆过程(Chinese Restaurant Process)

如果我们从狄利克雷过程技术分享中按波利亚瓮方案采样技术分享,它们取K < N 个不同的值技术分享,那么这N 个样本就形成了K 个团簇。也就是说,随机地按波利亚瓮方案采样N 个观察值对应着对整数集合{1,…,N}的一个划分,每一种划分方式都存在一定的概率,描述这种划分的分布叫做中餐馆过程

为了更明显的区分技术分享技术分享,我们把类别标号写成技术分享技术分享 ,即技术分享。则有技术分享

中餐馆过程是一种聚类过程,假设餐馆中没有顾客,刚进来的第一个人随机选择一张桌子坐下,每张桌子代表一类,后进来的顾客按照如下原则选择桌子:以概率技术分享 选择第k张已经有人的桌子坐下,以概率技术分享的概率选择一张没有人的桌子坐下。这样人数越多的桌子越有可能聚集更多的顾客形成团簇效果。

中餐馆过程具有一个性质在后面的讨论中要用到——可交换性(exchangeability ).说的是形成划分如果相同,那么与采样顺序是无关的,也就是在形成一个聚类效果之后,无论顾客进入餐馆的顺序如何,这种聚类的概率是相同的。

    优势:由于分类中会以概率技术分享 引进新的类别,所以这种聚类的聚类个数不需要人为指定。

断棍构造过程-波利亚翁方案-中餐馆过程

原文:http://www.cnblogs.com/simayuhe/p/5147631.html

(0)
(0)
   
举报
评论 一句话评论(0
关于我们 - 联系我们 - 留言反馈 - 联系我们:wmxa8@hotmail.com
© 2014 bubuko.com 版权所有
打开技术之扣,分享程序人生!