主要内容:
1、IHT的算法流程
2、IHT的MATLAB实现
3、二维信号的实验与结果
4、加速的IHT算法实验与结果
文献:T. Blumensath and M. Davies, "Iterative Hard Thresholding for Compressed Sensing," 2008.
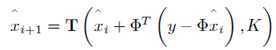
基本思想:给定一个初始的X0,然后通过以下的阈值公式不断地迭代。


function hat_x=cs_iht(y,T_Mat,s_ratio,m) % y=T_Mat*x, T_Mat is n-by-m % y - measurements % T_Mat - combination of random matrix and sparse representation basis % s_ratio - sparsity percentage of original signal % m - size of the original signal % the sparsity is length(y)/4 hat_x_tp=zeros(m,1); % initialization with the size of original s=floor(length(y)*s_ratio); % sparsity u=0.5; % impact factor % T_Mat=T_Mat/sqrt(sum(sum(T_Mat.^2))); % normalizae the whole matrix for times=1:s x_increase=T_Mat‘*(y-T_Mat*hat_x_tp); hat_x=hat_x_tp+u*x_increase; [val,pos]=sort(abs(hat_x),‘descend‘); hat_x(pos(s+1:end))=0; % thresholding, keeping the larges s elements hat_x_tp=hat_x; % update end
function Demo_CS_IHT()
%%%%%%%%%%%%%%%%%%%%%%%%%%%%%%%%%%%%%%%%%%%%%%%%%%%%%%%%%%%%%%%%%%%%%%%%%%%
% the DCT basis is selected as the sparse representation dictionary
% instead of seting the whole image as a vector, I process the image in the
% fashion of column-by-column, so as to reduce the complexity.
% Author: Chengfu Huo, roy@mail.ustc.edu.cn, http://home.ustc.edu.cn/~roy
% Reference: T. Blumensath and M. Davies, “Iterative Hard Thresholding for
% Compressed Sensing,” 2008.
%%%%%%%%%%%%%%%%%%%%%%%%%%%%%%%%%%%%%%%%%%%%%%%%%%%%%%%%%%%%%%%%%%%%%%%%%%%
%------------ read in the image --------------
img=imread(‘lena.bmp‘); % testing image
img=double(img);
[height,width]=size(img);
%------------ form the measurement matrix and base matrix ---------------
Phi=randn(floor(height/3),width); % only keep one third of the original data
Phi = Phi./repmat(sqrt(sum(Phi.^2,1)),[floor(height/3),1]); % normalize each column
mat_dct_1d=zeros(256,256); % building the DCT basis (corresponding to each column)
for k=0:1:255
dct_1d=cos([0:1:255]‘*k*pi/256);
if k>0
dct_1d=dct_1d-mean(dct_1d);
end;
mat_dct_1d(:,k+1)=dct_1d/norm(dct_1d);
end
%--------- projection ---------
img_cs_1d=Phi*img; % treat each column as a independent signal
%-------- recover using iht ------------
sparse_rec_1d=zeros(height,width);
Theta_1d=Phi*mat_dct_1d;
s_ratio = 0.2;
for i=1:width
column_rec=cs_iht(img_cs_1d(:,i),Theta_1d,s_ratio,height);
sparse_rec_1d(:,i)=column_rec‘; % sparse representation
end
img_rec_1d=mat_dct_1d*sparse_rec_1d; % inverse transform
%------------ show the results --------------------
figure(1)
% subplot(2,2,1),imagesc(img),title(‘original image‘)
subplot(2,2,1),imshow(img,[]),title(‘original image‘)
subplot(2,2,2),imagesc(Phi),title(‘measurement mat‘)
subplot(2,2,3),imagesc(mat_dct_1d),title(‘1d dct mat‘)
psnr = 20*log10(255/sqrt(mean((img(:)-img_rec_1d(:)).^2)));
% subplot(2,2,4),imagesc(img_rec_1d),title(strcat(‘1d rec img ‘,num2str(psnr),‘dB‘))
subplot(2,2,4),imshow(img_rec_1d,[]),title(strcat(‘1d rec img ‘,num2str(psnr),‘dB‘))
disp(‘over‘)
%************************************************************************%
function hat_x=cs_iht(y,T_Mat,s_ratio,m)
% y=T_Mat*x, T_Mat is n-by-m
% y - measurements
% T_Mat - combination of random matrix and sparse representation basis
% s_ratio - sparsity percentage of original signal
% m - size of the original signal
% the sparsity is length(y)/4
hat_x_tp=zeros(m,1); % initialization with the size of original
s=floor(length(y)*s_ratio); % sparsity
u=0.5; % impact factor
% T_Mat=T_Mat/sqrt(sum(sum(T_Mat.^2))); % normalizae the whole matrix
for times=1:s
x_increase=T_Mat‘*(y-T_Mat*hat_x_tp);
hat_x=hat_x_tp+u*x_increase;
[val,pos]=sort(abs(hat_x),‘descend‘);
hat_x(pos(s+1:end))=0; % thresholding, keeping the larges s elements
hat_x_tp=hat_x; % update
end
结论:实验针对的是图像信号,但算法中运用的是1维的算法,因此实验结果不太理想。(后面提供一个链接,有更好的代码 hard_l0_Mterm.m)


文献:Blumensath T. Accelerated iterative hard thresholding[J]. Signal Processing, 2012, 92(3): 752-756.

http://www.personal.soton.ac.uk/tb1m08/sparsify/sparsify.html
原文:http://www.cnblogs.com/AndyJee/p/5151312.html