例3.2给予我们继续往下面做的动力。很明显的我们对于g(t)的逼近还是太粗糙了.很自然的,我们会想到,如果继续细分我们的短点,比如每1/2取一个值,甚至每1/4取一个值,那么就会有更好的逼近效果。
有没有一种能在“半整数”点和整数点间断的常整数分段函数?我们可以采用与这个类似的处于V0空间里的函数进行描述。对从门函数引出的Φ(t)进行缩放便可以达到我们的目的

可以看出,这个函数的支撑集是[0,1/2),那么对它进行尺度变换之后的函数是什么样子呢?由于
。从高中的平移知识不难看出这个东西其实就是向右平移了1/2个单位(注意不是一个单位)。那么更一般的来说
,也就是平移了k/2个单位。
按照上面的规律,不难得出分段在能被1/4整除的点的常整数分段函数的表达式Φ(4t),又或者分段在偶数点的常整数分段函数Φ((1/2)t)。这些函数我们在图3.6画出
(译者注:本段对于原文有所删减)

图3.6 函数![]()
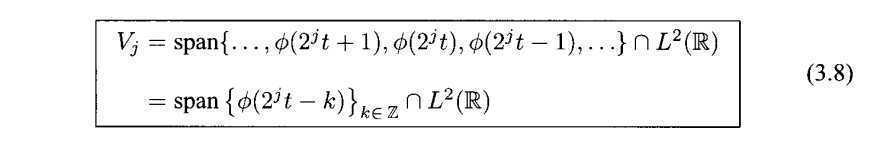
定义3.2(vj空间)Vj空间的定义如下所示

为了描述vj ,j∈Z,我们给出一些新的概念,它们如下

并且对于j∈Z

以后,我们的2Z就代表偶整数,1/2 Z就代表“半整数”,1/4就代表“四分之一整数“。我们不难发现Vj 是包含在2-j处有断点的常分段函数。
我们下面来看一些例子
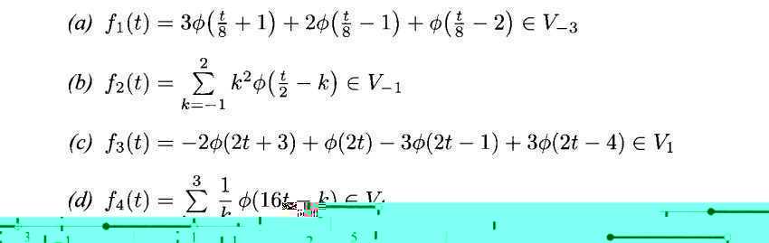
例3.3 (Vj里面的函数)画出以下函数

解:

(译者注:我真的懒了- -,这些相信读者不会陌生,看小波的人起码初中的函数变换是会的吧,不多叙述了)
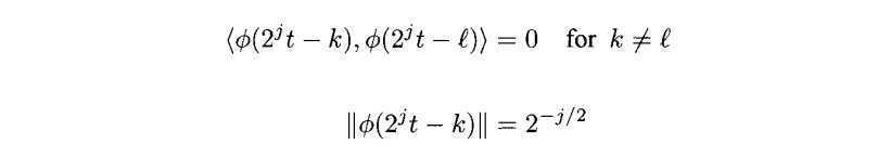
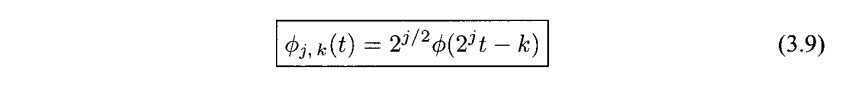
在练习3.7你会知道对于j∈Z来说,{Φ(2jt-k)}k∈z是线性无关的,同时,在练习3.8你会知道Vj是L2(R)的子空间。同时,在Vj空间的函数都能通过{Φ(2jt-k)}k∈z线性变换而得。所以{Φ(2jt-k)}k∈z是这个空间的一组基。在练习3.9你会知道

我们可以用这些去形成Vj里面的一组基。
主题3.2(Vj的正交基)Vj的正交基为

证明:我们从练习3.7可以看出Φ(2jt-k)是线性无关的。所以任意位于Vj的函数都能表达成它们的线性组合。下面我们来证明正交性,如果k!=l我们有
如果k=l,||Φj,k||2=2j||Φ(2jt-k)||2。在练习3.9(b)中知道||Φ(2jt-k)||2 所以||Φj,k||2=1,因此{Φj,k(t)}是vj的一组正交基。
我们来看一些Φj,k(t)的例子
例3.4 (画出Φj,k(t))请写出以下的函数的支撑集以及画出每个函数

解:
以上四个函数在图3.8画出。由于此题过于简单,我们直接给出算式以及答案,不再过多说明
(a)

supp(Φ3,7(t))=[7/8,1]
(b)

supp(Φ-2,1(t))=[4,8]
(c)

supp(Φ-2,1(t))=[-96,-80]
(d)


图3.8 3.4中的例子
主题3.3(Φj,k(t)的支撑区间)函数Φj,k(t)的支撑区间为![]()
证明:留作练习3.11
对于我们的分析来说实在是非常重要的。因此我们对这个区间定义一个新的概念
定义3.3(二元区间Ijk)我们定义区间Ij,k(j,k∈Z)为

我们将第一个参数j称为区间水平。
词语“二元”表明这个区间是由两个参数组成的。我们来看一些Ij,k的例子
例3.5(区间Ij,k的例子)简述下列区间

解:
对于(a),我们有
,区间(b)为
,c为![]()
。每一个的区间如下图所示

我们对以下的两种二元间隔特别感兴趣,他们分别是


从上面的式子可以看出,这些区间都是不相交的,下面的性质就是说,如果你将他们都并起来将会是实数集R。
主题3.4(二元区间的并集)令

则
。
证明:因为τ是从R衍生出来的,我们有
。现在如果要证明这个命题,我们就要证明
。那么,我们现在设t∈R,并且集中研究2jt。
我们总可以找到一个k来使得
。(作者注:如果读者学过数理分析我们可以通过阿基米德公理来证明K的存在,详见Bartle和Sherbert的书)
那么现在我们将等式两边除以2j,得到
,这就证明了t∈Ij,k 。所以
,证毕。
下面的主题就是来说明任意区间水平相等的不同区间不会相交
主题3.5(相同区间水平的二元间隔)对于k!=m,则有

证明:留作练习3.14
这个主题告诉了我们同水平的区间之间的关系。下一个主题将告诉我们不同水平区间的关系
主题3.6(不同区间水平的二元间隔)假设l>j,他们的关系要么是
或者

在(3.13)的情况
证明: 我们分为两种情况来讨论,第一种是
,这种情况已经包含在我们的命题里面了,所以我们考虑另一种情况
。
现在我们只需要证明这一种情况是符合(3.13)的情况即可。
因为l>j,我们有
,以及
。因为
是分分别为区间的长度。同时,又因为 1/2l起码是1/2j的一半。因此,Il,m的长度最多是Ij,k的一半。
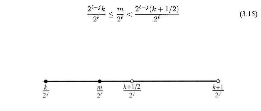
下面我们再分为两种情况。第一种情况(i)区间的左端点位于区间Ij,k内,也就是![]()
,第二种情况(ii)是区间的右端点位于区间Ij,k内。我们只证明第一种情况,将第二种情况的证明留作练习3.15。
我们不妨对其再一步的细分,如果端点在这个区间Ij,k左半部分,如图3.10所示,同时,我们得到以下的式子

对它进行进一步的化简

图3.10 m/2l在Ij,k 的左半区间
下面我们需要证明的是(m+1)/2j 比(k+1)/2j+1 小就可以了。我们从式子(3.15)说起。因为2l-j>2所以不等式最右端变为(2k+1)/2l,无论m取和值,m+1的值总是比2k+1的值要小,所以命题得证。另一种情况也是相似的,我们不再赘述。
(译者注:本文相对于原文略有修改,相信各位读者不难想象这个性质,因为无论区间以及下标都必须是整数,并且,大的区间起码是小的区间的长度的两倍。而小的区间肯定有一个区间的右端点在大区间的中点处,又一定有一个区间在大区间的左(右)端点处。在l-k=1的情况下,这两个区间为同一区间,否则,这些区间的序号都在这两个包含端点的区间之间。有兴趣的读者可以根据译者这个思路进行证明)
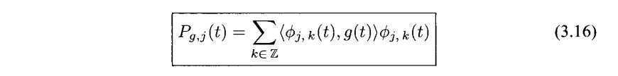
我们可以与上一节的投影的概念类比,定义一个类似的投影的概念

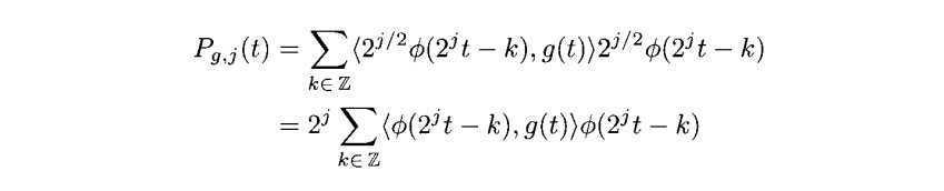
我们可以用(3.9)来表示(3.16)有

我们来举一些例子来发现它的一些性质
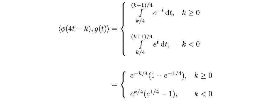
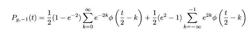
例3.6(在Vj上的投影) 我们采用例3.2中的函数g(t)来计算Pg,2(t)以及Pg,-1(t).
解:
我们先考虑第一种的情况

使用练习3.11的结果我们知道
,因此,内积可以写作

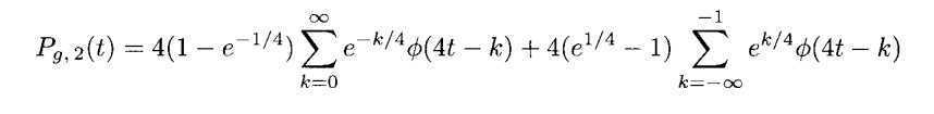
因此

这个投影Pg,2(t)在图3.11(a)画出。我们继续考虑第二种情况

同样分析其支撑集
,所以积分化为两种情况

所以内积能写作

这个结果在图3.11(b)中画出

图3.11 例3.6中的函数在两个空间上的投影
Vj空间满足一种特殊的嵌套性质。例如,一个函数f(t)属于V0,它的常函数的分段点在于整数点处,同时,我们也可以认为它的分段点在(1/2)Z处,只不过,在中点分段和没有分段一样——为同一个数
因此,有下面的这个等式

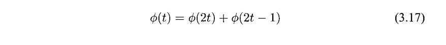
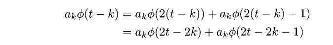
V0空间里面的元素可以视作V1空间的元素。假设

我们运用式子(3.17)对这个函数改写,如下

因此有

这就表示成为了V1空间中的正交基的线性组合了,所以这个函数属于V1空间。我们运用这个论点很容易能证明下面的性质。
性质3.7(Vj空间的嵌套性质) 对于(3.2)定义的Vj 空间有

证明:练习3.19
Vj空间不仅仅是嵌套的,而且我们可以通过乘以系数2,来从一个空间变换到另一个空间。这个观点由下面的性质来阐述
性质3.8 (从一个Vj空间到另一个) 当且仅当函数f(2t)∈Vj+1时,函数f(t)∈Vj
证明:我们先假设f(t)∈Vj,从而要证明f(2t)∈Vj+1,而必要性论证留作练习3.20
首先f(t)∈Vj,那么这个函数能够表示成为Φj,k(t)的线性组合。

我们代入f(2t)

其中
。因为我们能用Φj+1,k(t)的线性组合来表示f(2t),所以f(2t)∈Vj+1
这节的最后,我们用两个{Vj}k∈Z最重要的性质来结束。
理论3.1(Vj空间的特性)哈尔空间满足以下两个性质

证明:这个定理的证明超出了本书的范围,因此有兴趣的读者可以去参考Frazier的书。(作者注:如果读者学过分析数学,这个问题实在是太简单了,如果读者尚未学习,我建议你去参加一个分析数学的课程并且重新审视在Frazier的书上给出的证明)
我们对理论3.1作一点说明。(3.19)说明的是,如果我们对所有的哈尔空间做交集,得出来是只包含唯一一个元素f(t)=0的集合。这是哈尔空间的分离性质。
我们可以通过口头证明(并不严谨的数学证明)来让读者更好的理解。(3.18)有

随着Vj空间的j趋向于-∞,倘若我们要采用Vj去拟合这个函数,如果f(t)不为0,始终有一个基函数是有值的,如果我们再对这个基函数的区间长度扩张至无穷。那么我们的拟合函数的能量将会趋向于无穷。因此,只有f(t)=0的函数能满足。
对于第二个式子,我们必须要先讨论并集的“栅"。”栅“表达的是并集的终止。一个集合V如果包含了他自己的极限点,我们就称这个集合是紧闭性的。也就是说如果{Vn}n∈N是V,如果Vn的n趋近于∞,Vn仍属于V。但是如果趋向于无穷时不属于这个集合V,我们就称这个失闭点为V-(上面有横线打不出来)。第二个性质说的就是任何函数g(t)∈L2(R),我们都能用公差不同的间断点的分段常函数的Vj来逼近它。使用嵌套性质,我们不难发现

只要我们的分段足够的细,我们就能够得到足够好的精确度
。
原文:http://www.cnblogs.com/BIGShengun/p/5144795.html