首页 > 编程语言 > 详细

《时间序列分析及应用:R语言》读书笔记--第二章 基本概念

时间:2016-02-05 18:51:06      阅读:452      评论:0      收藏:0      [点我收藏+]

本章介绍时间序列中的基本概念。特别地,介绍随机过程、均值、方差、协方差函数、平稳过程和自相关函数等概念。

2.1时间序列与随机过程

关于随机过程的定义,本科上过相关课程,用的是《应用随机过程》清华林元烈老师的书。第1章第5节:

技术分享

技术分享

上面的定义比较清楚明白。按照本书上的说法,随机变量序列就是一个随机过程,换句话说,在每一个t时刻,所研究的量都是一个随机变量。随机过程完整的概率结构是由每个时刻的有限联合概率分布族决定的,幸运的是,联合分布中的大部分信息可以通过均值、方差和协方差等加以描述,而不用去直接处理这些分布。因此将精力集中在对一阶矩和二阶矩的研究上。

2.2均值、方差、协方差

这些统计量的定义,参考一下下面:

技术分享

技术分享

技术分享

下面是一个有用的性质:

技术分享

随机游走

构造下面的随机变量序列:

技术分享

每次增加一个随机变量e,这些e独立同分布,且方差相同。则有性质:

1、均值为0;

2、第t步,方差为t*(Sigma)^2;可以看出,方差随时间增长;

3、协方差,1<=t<=s时,t和s时刻随机变量的协方差为t*(Sigma)^2;(容易证明)

4、自相关函数:

技术分享,容易证明。

按照上面自相关函数的计算式,随着时间的推移,相邻时点上随机变量的正相关程度越来越强,另一方面,离得越远的随机变量相关程度越来越弱。

下面演示一个例子

win.graph(width=4.875, height=2.5,pointsize=8)
data(rwalk)
plot(rwalk,type=o,ylab=Random Walk)

技术分享

所有时点上的理论均值为0,方差随时间增长,(并且过程在相邻时点上取值间的相关系数接近1??)。

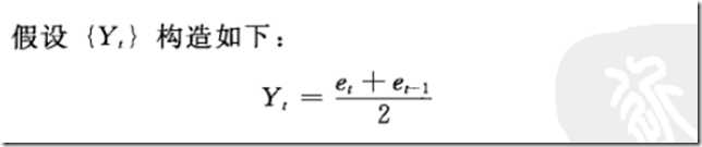
滑动平均

构造下面的随机过程变量。

技术分享

则有下面的性质。

1、均值为0;

2、方差为0.5*(Sigma)^2;容易证明;

3、对于协方差和自相关函数:容易证明;

技术分享

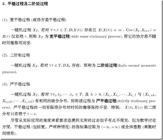
平稳性

为了对随机过程进行统计推断,通常会对随机过程做一些合理的简化假设。其中最重要的是平稳性,也就是决定过程特性的统计规律不随时间的变化而变化。

技术分享

技术分享

技术分享

林老师的书上关于平稳性的一些概念为:

技术分享

可以看出,两本书上关于严平稳和宽平稳(若平稳)的定义是一样的。

白噪声

白噪声过程定义为独立同分布的随机变量序列。通常假设白噪声过程均值为0,方差为Sigma平方。白噪声的性质:

1、严平稳行(由独立同分布可证);

2、

技术分享

3、

技术分享

关于白噪声,并不是自身性质值得研究,而是其构造的一些随机过程很有用。比如前述滑动平均的例子。

下面说,随机游走过程并不是平稳的过程。因为其协方差不止于时间间隔有关。而如果不直接分析本身,而分析其差分,Yt-Y(t-1)为et,是平稳的。由于许多实际的时间序列,不是处于统计平衡状态,而是对时间变化,因此不能用平稳过程对齐建模,而是可以通过运用差分等这样的技巧,把非平稳过程转换为平稳过程。

ps:由于要写的字太多,下面的章节将只写出代码,关于分析什么的自己拿笔记记一下就好了,像这样的截图以后就不做了。

《时间序列分析及应用:R语言》读书笔记--第二章 基本概念

原文:http://www.cnblogs.com/batteryhp/p/5183065.html

(0)
(0)
   
举报
评论 一句话评论(0
关于我们 - 联系我们 - 留言反馈 - 联系我们:wmxa8@hotmail.com
© 2014 bubuko.com 版权所有
打开技术之扣,分享程序人生!