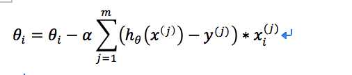
batch 指的是每一次迭代计算参数的时候都是对整个样本进行遍历
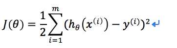
对于样本数量为m个的训练集
首先初始化参数值(对于有多个局部极值local optimum的问题 不同的初始化值会得到不同的局部极值)
即令每一个θ都为某一个值
然后利用公式

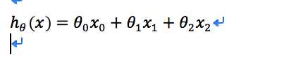
h是预测值
y是样本输出值
x是样本输入值
j是样本数
α是剃度速率 也就是控制每次收敛幅度的一个系数
迭代计算更新θ值,直至变化量为0等。
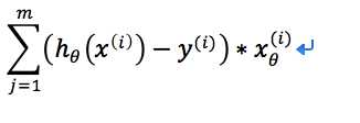
h与y的差值表示预测值与样本实际值之间的差距
通过减小这个差距来拟合 也就是得到更接近样本的输入与输出关系
然后通过拟合来的关系函数来计算需要的预测
x表示样本的输入值 θ表示输入值前面的参数
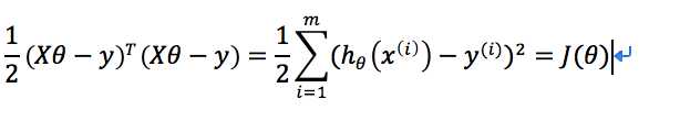
定义为差值
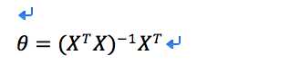
求最值的情况利用偏导数

最后得到结果







以上为原创,未经许可,不可转载。
批剃度下降算法 Batch Gradient Descent Algorithm
原文:http://www.cnblogs.com/baaingSheep/p/5183225.html