
该光照模型是基于物理材质的光照模型。光照射到物体表面发生漫反射、镜面反射、折射、透射等现象,在这里我们只考虑漫反射和镜面反射,Cook-Torrance是用来模拟不同材质的镜面反射效果。

其中:
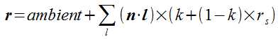
ambient :环境光;
K:决定高光部分和漫射的比例,一般而已,光复合能量守恒定律,即入射光的总能量和出射光的总能量相等;
rs :镜面发射;

即Fresnel,菲涅尔反射。我们在观察水面的时候,垂直看下去,清澈见底,看远处的水面,向镜子一样,这个就是菲涅尔效应。菲涅尔效应可以说是无处不在,不同的材质效果不同而已。

v:视点的方向;
h:半角向量,即视点和光线的中间向量;
该项模拟物体表面是由无数微小的像镜子一样的平面组成,每一个微平面对于光线会根据自身的方向反射光线,只有那些面向视点的平面贡献大。具体参见微平面法线分布的理论。

该项用于计算微平面中反射光重合部分的修正。



=============================================================================
Shader "JQM/Cook-Torrance" { Properties { _Color("Base Color",Color) = (1,1,1,1) _MainTex ("Texture", 2D) = "white" {} _Roughness("Roughness",Range(0,1)) = 1 _Fresnel("Fresnel",Range(0,1)) = 1 _K("K",Range(0,1)) = 1 } SubShader { Pass { Tags { "LightMode" = "ForwardBase"} CGPROGRAM #pragma vertex vert #pragma fragment frag #include "UnityCG.cginc" float4 _Color; //使用Unity定义的变量:灯光 uniform float4 _LightColor0; float _Roughness; float _Fresnel; float _K; struct VertexOutput { float4 pos : SV_POSITION; float4 posWorld : TEXCOORD1; float2 uv : TEXCOORD2; float3 normal:Normal; }; sampler2D _MainTex; float4 _MainTex_ST; VertexOutput vert (appdata_full v) { VertexOutput o; o.pos = mul(UNITY_MATRIX_MVP, v.vertex); o.posWorld = mul(_Object2World, v.vertex); o.uv = TRANSFORM_TEX(v.texcoord, _MainTex); o.normal = v.normal; return o; } fixed4 frag (VertexOutput i) : COLOR { //将法线转到世界空间:乘以变换矩阵的逆的转置 //float3 normalWorld = mul(_Object2World,i.normal); float3 normalWorld = mul(i.normal,_World2Object); //观察者 float3 eyeDir = normalize(_WorldSpaceCameraPos -i.posWorld).xyz; //光源 float3 lightDir = normalize(_WorldSpaceLightPos0).xyz; fixed4 col = tex2D(_MainTex, i.uv); ///计算漫反射 float3 diffuse = _Color*saturate(dot(lightDir,normalWorld))*_LightColor0/3.14 ; //计算高光 //float3 h = (eyeDir+lightDir)/2; //float3 r = normalize(reflect(-lightDir,normalWorld)); //float3 specular = saturate(dot(lightDir,normalWorld))* _SpecularColor * pow(saturate(dot(r,eyeDir)),_SpecularPower); //计算Cook-Torrance高光 float s; float ln = saturate(dot(lightDir,normalWorld)); if(ln > 0.0)//在光照范围内 { float3 h = normalize(eyeDir+lightDir); float nh = saturate(dot(normalWorld, h)); float nv = saturate(dot(normalWorld, eyeDir)); float vh = saturate(dot(eyeDir, h)); //G项 float nh2 = 2.0*nh; float g1 = (nh2*nv)/vh; float g2 = (nh2*ln)/nh; float g = min(1.0,min(g1,g2)); //D项:beckmann distribution function float m2 = _Roughness*_Roughness; float r1 = 1.0/(4.0 * m2 *pow(nh,4.0)); float r2 = (nh*nh -1.0)/(m2 * nh*nh); float roughness = r1*exp(r2); //F项 float fresnel = pow(1.0 - vh,5.0); fresnel *= (1.0-_Fresnel); fresnel += _Fresnel; s = saturate((fresnel*g*roughness)/(nv*ln*3.1415926)); } float3 specular =_LightColor0*ln*(_K + s*(1-_K)); float3 final = _K*diffuse + specular + UNITY_LIGHTMODEL_AMBIENT.xyz; return float4(final,1); } ENDCG } } }
原文:http://www.cnblogs.com/jqm304775992/p/5202973.html