首页 > 其他 > 详细

Social regularizations

时间:2016-03-08 09:27:43      阅读:155      评论:0      收藏:0      [点我收藏+]

技术分享

 

技术分享

 

技术分享

 

 

技术分享

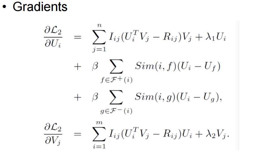
  trust-aware :如何从隐式信任中导出显示信任。链接预测就是搞这一方面的么?

  和类似谱聚类的拉普拉斯矩阵结合在一起,没怎么看。

Social regularizations

原文:http://www.cnblogs.com/hxsyl/p/5252722.html

(0)
(0)
   
举报
评论 一句话评论(0
关于我们 - 联系我们 - 留言反馈 - 联系我们:wmxa8@hotmail.com
© 2014 bubuko.com 版权所有
打开技术之扣,分享程序人生!