首页 > 其他 > 详细

TF-IDF与余弦相似性的应用(二):找出相似文章

时间:2016-03-10 12:22:37      阅读:111      评论:0      收藏:0      [点我收藏+]

上一次,我用TF-IDF算法自动提取关键词。

今天,我们再来研究另一个相关的问题。有些时候,除了找到关键词,我们还希望找到与原文章相似的其他文章。比如,"Google新闻"在主新闻下方,还提供多条相似的新闻。

技术分享

为了找出相似的文章,需要用到"余弦相似性"cosine similiarity)。下面,我举一个例子来说明,什么是"余弦相似性"

为了简单起见,我们先从句子着手。

  句子A:我喜欢看电视,不喜欢看电影。

  句子B:我不喜欢看电视,也不喜欢看电影。

请问怎样才能计算上面两句话的相似程度?

基本思路是:如果这两句话的用词越相似,它们的内容就应该越相似。因此,可以从词频入手,计算它们的相似程度。

第一步,分词。

  句子A:我/喜欢//电视,不/喜欢//电影。

  句子B:我//喜欢//电视,也//喜欢//电影。

第二步,列出所有的词。

  我,喜欢,看,电视,电影,不,也。

第三步,计算词频。

  句子A:我 1,喜欢 2,看 2,电视 1,电影 1,不 1,也 0

  句子B:我 1,喜欢 2,看 2,电视 1,电影 1,不 2,也 1

第四步,写出词频向量。

  句子A[1, 2, 2, 1, 1, 1, 0]

  句子B[1, 2, 2, 1, 1, 2, 1]

到这里,问题就变成了如何计算这两个向量的相似程度。

我们可以把它们想象成空间中的两条线段,都是从原点([0, 0, ...])出发,指向不同的方向。两条线段之间形成一个夹角,如果夹角为0度,意味着方向相同、线段重合;如果夹角为90度,意味着形成直角,方向完全不相似;如果夹角为180度,意味着方向正好相反。因此,我们可以通过夹角的大小,来判断向量的相似程度。夹角越小,就代表越相似。

技术分享

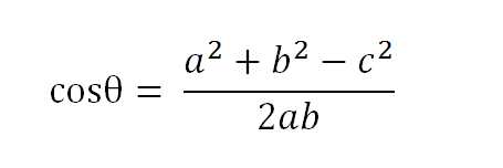
以二维空间为例,上图的ab是两个向量,我们要计算它们的夹角θ余弦定理告诉我们,可以用下面的公式求得:

技术分享

技术分享

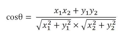
假定a向量是[x1, y1]b向量是[x2, y2],那么可以将余弦定理改写成下面的形式:

技术分享

技术分享

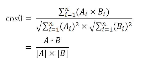
数学家已经证明,余弦的这种计算方法对n维向量也成立。假定AB是两个n维向量,A [A1, A2, ..., An] B [B1, B2, ..., Bn] ,则AB的夹角θ的余弦等于:

技术分享

使用这个公式,我们就可以得到,句子A与句子B的夹角的余弦。

技术分享

余弦值越接近1,就表明夹角越接近0度,也就是两个向量越相似,这就叫"余弦相似性"所以,上面的句子A和句子B是很相似的,事实上它们的夹角大约为20.3度。

由此,我们就得到了"找出相似文章"的一种算法:

  (1)使用TF-IDF算法,找出两篇文章的关键词;

  (2)每篇文章各取出若干个关键词(比如20个),合并成一个集合,计算每篇文章对于这个集合中的词的词频(为了避免文章长度的差异,可以使用相对词频);

  (3)生成两篇文章各自的词频向量;

  (4)计算两个向量的余弦相似度,值越大就表示越相似。

"余弦相似度"是一种非常有用的算法,只要是计算两个向量的相似程度,都可以采用它。

下一次,我想谈谈如何在词频统计的基础上,自动生成一篇文章的摘要。

(完)

?

TF-IDF与余弦相似性的应用(二):找出相似文章

原文:http://www.cnblogs.com/Yiutto/p/5261063.html

(0)
(0)
   
举报
评论 一句话评论(0
关于我们 - 联系我们 - 留言反馈 - 联系我们:wmxa8@hotmail.com
© 2014 bubuko.com 版权所有
打开技术之扣,分享程序人生!