转载:原文地址为http://www.cnblogs.com/elaron/archive/2013/05/20/3088894.html
作者:elar
Many Thanks
----------------------------------------------------------------------------------------------------
Normal Equations 的由来
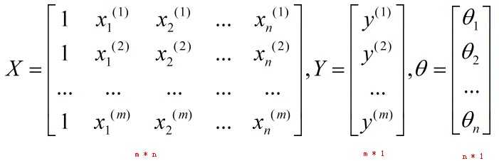
假设我们有m个样本。特征向量的维度为n。因此,可知样本为{(x(1),y(1)), (x(2),y(2)),... ..., (x(m),y(m))},其中对于每一个样本中的x(i),都有x(i)={x1(i), xn(i),... ...,xn(i)}。令 H(θ)=θ0 + θ1x1 +θ2x2 +... + θnxn,则有
少了一个Theta0,需要加上,是n+1 dimension.x也是m+1 dimension
若希望H(θ)=Y,则有
X · θ = Y
我们先来回忆一下两个概念:单位矩阵 和 矩阵的逆,看看它们有什么性质。
(1)单位矩阵E
AE=EA=A
(2)矩阵的逆A-1
要求:A必须为方阵
性质:AA-1=A-1A=E
再来看看式子 X · θ = Y
若想求出θ,那么我们需要做一些转换:
step1:先把θ左边的矩阵变成一个方阵。通过乘以XT可以实现,则有
XTX · θ = XTY
step2:把θ左边的部分变成一个单位矩阵,这样就可以让它消失于无形了……
(XTX)-1(XTX) · θ = (XTX)-1XTY
step3:由于(XTX)-1(XTX) = E,因此式子变为
Eθ = (XTX)-1XTY
E可以去掉,因此得到
θ = (XTX)-1XTY
这就是我们所说的Normal Equation了。
Normal Equation VS Gradient Descent
Normal Equation 跟 Gradient Descent(梯度下降)一样,可以用来求权重向量θ。但它与Gradient Descent相比,既有优势也有劣势。
优势:
Normal Equation可以不在意x特征的scale。比如,有特征向量X={x1, x2}, 其中x1的range为1~2000,而x2的range为1~4,可以看到它们的范围相差了500倍。如果使用Gradient Descent方法的话,会导致椭圆变得很窄很长,而出现梯度下降困难,甚至无法下降梯度(因为导数乘上步长后可能会冲出椭圆的外面)。但是,如果用Normal Equation方法的话,就不用担心这个问题了。因为它是纯粹的矩阵算法。
劣势:
相比于Gradient Descent,Normal Equation需要大量的矩阵运算,特别是求矩阵的逆。在矩阵很大的情况下,会大大增加计算复杂性以及对计算机内存容量的要求。
什么情况下会出现Normal Equation,该如何应对?
(1)当特征向量的维度过多时(如,m <= n 时)
解决方法:① 使用regularization方式
or ②delete一些特征维度
(2)有redundant features(也称为linearly dependent feature)
例如, x1= size in feet2
x2 = size in m2
feet和m的换算为 1m≈3.28feet所以,x1 ≈ 3.282 * x2, 因此x1和x2是线性相关的(也可以说x1和x2之间有一个是冗余的)
解决方法:找出冗余的特征维度,删除之。
练习
练习的介绍页面见Ng的openclassroom Exercise: Multivariate Linear Regression
下载页面上的数据,然后载入matlab中。

y(i)表示价格,x(i)表示房屋面积和房间数:

样本数m=47。
step1:对数据进行预处理
给每一个x向量,都增加一个x0=1的分量。
m = 47;
x=[ones(m,1),ex3x];
查看x矩阵:

step2:带入normal equation公式θ = (XTX)-1XTY,求解权重向量。
y=ex3y; theta = inv(x‘*x)*x‘*y;
求得θ向量为

如果我想预计“1650-square-foot house with 3 bedrooms”的价格,那么由X * θ = Y可知:
price = [1,1650,3]* theta ;
我们取消matlab中的科学计数法,看看price的价格是多少:
>> format long g
>> price
price = 293081.464334897
我们在给出的样本中,找一个接近的样本比比看:

23号样本的房屋面积为1604,房间数也为3,它的价格为

我们可以尝试画出H(θ)函数的图像看看:
先分别用min和max函数找出房屋面积(x1)和房间个数(x2)的最大和最小值,有
x1∈[852,4478]
x2∈[1,5]
x1=linspace(852,4478,47); x2=linspace(1,5,47);
[xx1,xx2]=meshgrid(x1,x2);
h_theta = theta(1)*ones(47,47) + theta(2)*xx1 + theta(3)*xx2;
surf(xx1,xx2,h_theta);
可以看到H(θ)为如下平面:

原文:http://www.cnblogs.com/ycjing/p/5325069.html