本文主要是来练习多变量线性回归问题(3个变量)。
那个时候用梯度下降法求解时,给出的学习率是固定的
当有了学习速率
本文要解决的问题是给出了
dot(A,B):
表示的是向量A和向量B的内积。
系统的损失函数:

其向量表达形式如下:

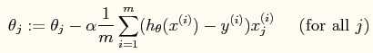
当使用梯度下降法进行参数的求解时,参数的更新公式如下:

当然它也有自己的向量形式(程序中可以体现)。
测试学习率的结果如下:

由此可知,选用学习率为1时,可以到达很快的收敛速度,因此最终的程序中使用的学习率为1.
最终使用梯度下降法和公式法的预测结果如下:

可以看出两者的结果是一致的。
方法一:梯度下降法
x = load(‘ex3x.dat‘);
y = load(‘ex3y.dat‘);
x = [ones(size(x,1),1) x];
meanx = mean(x);%求均值
sigmax = std(x);%求标准偏差
x(:,2) = (x(:,2)-meanx(2))./sigmax(2);
x(:,3) = (x(:,3)-meanx(3))./sigmax(3);
figure
itera_num = 100; %尝试的迭代次数
sample_num = size(x,1); %训练样本的次数
alpha = [0.01, 0.03, 0.1, 0.3, 1, 1.3];%因为差不多是选取每个3倍的学习率来测试,所以直接枚举出来
plotstyle = {‘b‘, ‘r‘, ‘g‘, ‘k‘, ‘b--‘, ‘r--‘};
theta_grad_descent = zeros(size(x(1,:)));
for alpha_i = 1:length(alpha) %尝试看哪个学习速率最好
theta = zeros(size(x,2),1); %theta的初始值赋值为0
Jtheta = zeros(itera_num, 1);
for i = 1:itera_num %计算出某个学习速率alpha下迭代itera_num次数后的参数
Jtheta(i) = (1/(2*sample_num)).*(x*theta-y)‘*(x*theta-y);%Jtheta是个行向量
grad = (1/sample_num).*x‘*(x*theta-y);
theta = theta - alpha(alpha_i).*grad;
end
plot(0:49, Jtheta(1:50),char(plotstyle(alpha_i)),‘LineWidth‘, 2)%此处一定要通过char函数来转换
hold on
if(1 == alpha(alpha_i)) %通过实验发现alpha为1时效果最好,则此时的迭代后的theta值为所求的值
theta_grad_descent = theta
end
end
legend(‘0.01‘,‘0.03‘,‘0.1‘,‘0.3‘,‘1‘,‘1.3‘);
xlabel(‘Number of iterations‘)
ylabel(‘Cost function‘)
%下面是预测公式
price_grad_descend = theta_grad_descent‘*[1 (1650-meanx(2))/sigmax(2) (3-meanx(3)/sigmax(3))]‘
方法二:normal equations
x = load(‘ex3x.dat‘);
y = load(‘ex3y.dat‘);
x = [ones(size(x,1),1) x];
theta_norequ = inv((x‘*x))*x‘*y
price_norequ = theta_norequ‘*[1 1650 3]‘Matlab学习 之 Multivariance Linear Regression
原文:http://blog.csdn.net/u013007900/article/details/51365309