在行首插入 1 到 6个#,分别表示标题 1 到标题 6
# 这是标题1
## 这是标题1
###### 这是标题6
点击保存后的效果:
在行首增加 1.、2.、3.,即数字和英文句点, 不要求数字一定要连续,可以都是1.
1. 有序列表
1. 有序列表
4. 有序列表
点击保存后的效果:
在行首增加 * 或 -
* 无序列表
* 无序列表
点击保存后的效果:
可直接粘贴图片,或将图片文件拖动到光标处。
也可以使用标准的Markdown语法,如: 
[描述](链接地址) ,例如:[为知笔记](http://www.wiz.cn),注意要使用英文符号点击保存后的效果:
为知笔记
粗体:在文字前后添加 ** (注意符号与文字间不要有空格)
斜体:在文字前后添加 *
删除线:在文字前后添加 ~~
**粗体***斜体*~~删除线~~保存后的效果:
粗体
斜体删除线
在文字前 添加 >
点击保存后的效果:
如果你无法简洁的表达你的想法,那只说明你还不够了解它。 -- 阿尔伯特·爱因斯坦
| 为知笔记|更新 | 版本 ||------------|-----------|--------|| WizNote | Markdown| Latest |点击保存后的效果:
| 为知笔记 | 更新 | 版本 |
|---|---|---|
| WizNote | Markdown | Latest |
在代码前后增加 三个反单引号:```
```
int i = 0; i = 1;
for (int i = 0; i < 100; i++)
{
printf("hello markdown!\n");
}
```
保存后的效果:

在任何你想要展示Markdown 笔记目录的地方,添加 [TOC] , 在阅读模式下,标题1~6样式的内容会被提取出来作为目录,相当于大纲功能。
例如:
[TOC]
###Markdown 是什么
####Markdown 的好处
点击保存后的效果:

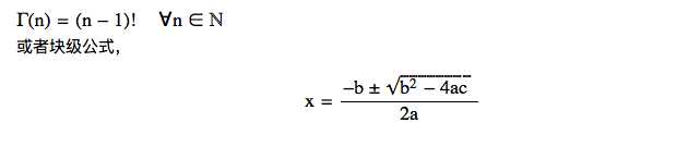
可以创建行内公式,例如:$\Gamma(n) = (n-1)!\quad\forall n\in\mathbb N$或者块级公式,$$ x = \dfrac{-b \pm \sqrt{b^2 - 4ac}}{2a} $$点击保存后的效果:

```flow
st=>start: Start
e=>end: End
op1=>operation: My Operation
sub1=>subroutine: My Subroutine
cond=>condition: Yes or No?
io=>inputoutput: catch something...
st->op1->cond
cond(yes)->io->e
cond(no)->sub1(right)->op1
```
保存后效果:

注意:
1) 关键词(start、end、operation、subroutine、condition和inputoutput)后的冒号后要紧跟一个空格。
2) 使用->来连接两个元素,对于condition类型,有yes和no两个分支,如示例中的cond(yes)和cond(no)。
更多关于流程图的语法说明:http://adrai.github.io/flowchart.js/
```sequence
Alice->Bob: Hello Bob, how are you?
Note right of Bob: Bob thinks
Bob-->Alice: I am good thanks!
```
保存后效果:

更多关于时序图的语法说明:http://bramp.github.io/js-sequence-diagrams/
原文:http://www.cnblogs.com/skyhuangdan/p/5485069.html