首页 > 编程语言 > 详细

七月算法--12月机器学习在线班-第十三次课笔记—贝叶斯网络

时间:2016-05-13 14:36:18      阅读:319      评论:0      收藏:0      [点我收藏+]

七月算法--12月机器学习在线班-第十三次课笔记—贝叶斯网络

七月算法(julyedu.com)12月机器学习在线班学习笔记http://www.julyedu.com

?

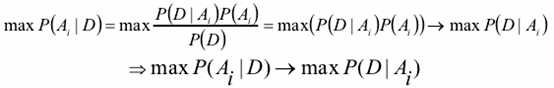
1.1 贝叶斯公式带来的思考:给定结果推原因;

技术分享

1.2朴素贝叶斯的假设

1,一个特征出现的概率,与其他特征(条件)独立(特征独立性)

2, 每个特征同等重要

技术分享

例如:文本分类 ,词出现为1,不出现为0

贝叶斯公式:

技术分享

分解:

技术分享

?

拉普拉斯平滑

技术分享

判断两个文档的距离:夹角余弦

判断分类器的正确率:交叉验证

若一个词出现的次数多,一个次少,则可以采用计数的方法(但以往的经验,效果一般)

1.3贝叶斯网络

贝叶斯网络:有向无环图模型,一种概率图模型,根据概率图的拓扑结构,考察一组随机变量技术分享及其n组条件概率分布

两个随机变量之间有关系,但是不是因果关系

?

1.3.1 简单地贝叶斯网络

技术分享

上面的式子和右边的图是等价的

1.3.2全连接贝叶斯网络

技术分享

5个节点的全连接图

技术分享

1.3.3 正常的贝叶斯网络

技术分享

技术分享上面的公式和右图是一个意思

  1. x1和x2独立
  2. x6和x7在x4给定的条件下独立

?

?

?

?

?

全部随机变量的联合分布:

技术分享

1.3.4 特殊的贝叶斯网络

技术分享

结点形成一条链式网络,称作马尔科夫模型

技术分享只与技术分享有关, 与技术分享…… 技术分享无关

伪随机发生器:

技术分享

?

1.3.5 通过贝叶斯网络判定条件独立(三种情况)

  1. 第一种情况(tail-to-tail)

    技术分享

  2. 第二种(head-to-tail)

    技术分享

  3. 第三种(head-to-head)

    技术分享

N个节点,N阶的马尔科夫模型:全连接模型

总结:不要过得累加模型的复杂度,适时使用奥卡姆剃刀(Occam‘s Razor)。

1.3.6 贝叶斯网络的构建

生成模型:NB,HMM

判别模型:SVM,Logistic,RF

技术分享

一个例子如下:

技术分享

?

?

七月算法--12月机器学习在线班-第十三次课笔记—贝叶斯网络

原文:http://www.cnblogs.com/sweet-dew/p/5488057.html

(0)
(0)
   
举报
评论 一句话评论(0
关于我们 - 联系我们 - 留言反馈 - 联系我们:wmxa8@hotmail.com
© 2014 bubuko.com 版权所有
打开技术之扣,分享程序人生!