二叉平衡树是二叉树中最为最要的概念之一,也是在语言库或者项目中应用比较广泛的一种特殊的树形结构。
| 二叉平衡树 | 
AVL树是高度平衡的而二叉树。它的特点是:AVL树中任何节点的两个子树的高度最大差别为1。 通常AVL树是在二叉搜索树上,经过局部调整而建立的,因此,它还是一棵排序树。

上面的两张图片,左边的是AVL树,它的任何节点的两个子树的高度差别都<=1;而右边的不是AVL树,因为7的两颗子树的高度相差为2(以2为根节点的树的高度是3,而以8为根节点的树的高度是1)。
左右子树相差不超过1.
public class AVLTree<T extends Comparable<T>> {
    private AVLTreeNode<T> mRoot;    // 根结点
    // AVL树的节点(内部类)
    class AVLTreeNode<T extends Comparable<T>> {
        T key;                // 关键字(键值)
        int height;         // 高度
        AVLTreeNode<T> left;    // 左孩子
        AVLTreeNode<T> right;    // 右孩子
        public AVLTreeNode(T key, AVLTreeNode<T> left, AVLTreeNode<T> right) {
            this.key = key;
            this.left = left;
            this.right = right;
            this.height = 0;
        }
    }
}
如果在AVL树中进行插入或删除节点后,可能导致AVL树失去平衡。这种失去平衡的可以概括为4种姿态:LL(左左),LR(左右),RR(右右)和RL(右左)。

而列举的关于”失去平衡的AVL树”的例子。总的来说,AVL树失去平衡时的情况一定是LL、LR、RL、RR这4种之一,它们都由各自的定义:
(1) LL:LeftLeft,也称为”左左”。插入或删除一个节点后,根节点的左子树的左子树还有非空子节点,导致”根的左子树的高度”比”根的右子树的高度”大2,导致AVL树失去了平衡。 
     例如,在上面LL情况中,由于”根节点(8)的左子树(4)的左子树(2)还有非空子节点”,而”根节点(8)的右子树(12)没有子节点”;导致”根节点(8)的左子树(4)高度”比”根节点(8)的右子树(12)”高2。
(2) LR:LeftRight,也称为”左右”。插入或删除一个节点后,根节点的左子树的右子树还有非空子节点,导致”根的左子树的高度”比”根的右子树的高度”大2,导致AVL树失去了平衡。 
     例如,在上面LR情况中,由于”根节点(8)的左子树(4)的左子树(6)还有非空子节点”,而”根节点(8)的右子树(12)没有子节点”;导致”根节点(8)的左子树(4)高度”比”根节点(8)的右子树(12)”高2。
(3) RL:RightLeft,称为”右左”。插入或删除一个节点后,根节点的右子树的左子树还有非空子节点,导致”根的右子树的高度”比”根的左子树的高度”大2,导致AVL树失去了平衡。 
     例如,在上面RL情况中,由于”根节点(8)的右子树(12)的左子树(10)还有非空子节点”,而”根节点(8)的左子树(4)没有子节点”;导致”根节点(8)的右子树(12)高度”比”根节点(8)的左子树(4)”高2。
(4) RR:RightRight,称为”右右”。插入或删除一个节点后,根节点的右子树的右子树还有非空子节点,导致”根的右子树的高度”比”根的左子树的高度”大2,导致AVL树失去了平衡。 
     例如,在上面RR情况中,由于”根节点(8)的右子树(12)的右子树(14)还有非空子节点”,而”根节点(8)的左子树(4)没有子节点”;导致”根节点(8)的右子树(12)高度”比”根节点(8)的左子树(4)”高2。
如果在AVL树中进行插入或删除节点后,可能导致AVL树失去平衡。AVL失去平衡之后,可以通过旋转使其恢复平衡,下面分别介绍”LL(左左),LR(左右),RR(右右)和RL(右左)”这4种情况对应的旋转方法。
LL失去平衡的情况,可以通过一次旋转让AVL树恢复平衡。如下图:

图中左边是旋转之前的树,右边是旋转之后的树。从中可以发现,旋转之后的树又变成了AVL树,而且该旋转只需要一次即可完成。
对于LL旋转,你可以这样理解为:LL旋转是围绕”失去平衡的AVL根节点”进行的,也就是节点k2;而且由于是LL情况,即左左情况,就用手抓着”左孩子,即k1”使劲摇。将k1变成根节点,k2变成k1的右子树,”k1的右子树”变成”k2的左子树”。
/*
 * LL:左左对应的情况(左单旋转)。
 *
 * 返回值:旋转后的根节点
 */
private AVLTreeNode<T> leftLeftRotation(AVLTreeNode<T> k2) {
    AVLTreeNode<T> k1;
    k1 = k2.left;
    k2.left = k1.right;
    k1.right = k2;
    k2.height = max( height(k2.left), height(k2.right)) + 1;
    k1.height = max( height(k1.left), k2.height) + 1;
    return k1;
}
理解了LL之后,RR就相当容易理解了。RR是与LL对称的情况!RR恢复平衡的旋转方法如下:

图中左边是旋转之前的树,右边是旋转之后的树。RR旋转也只需要一次即可完成。
/*
 * RR:右右对应的情况(右单旋转)。
 *
 * 返回值:旋转后的根节点
 */
private AVLTreeNode<T> rightRightRotation(AVLTreeNode<T> k1) {
    AVLTreeNode<T> k2;
    k2 = k1.right;
    k1.right = k2.left;
    k2.left = k1;
    k1.height = max( height(k1.left), height(k1.right)) + 1;
    k2.height = max( height(k2.right), k1.height) + 1;
    return k2;
}
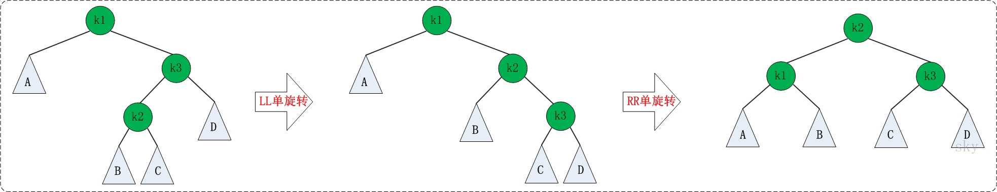
LR失去平衡情况需要经过两次旋转才能达到平衡。

第一次旋转是围绕”k1”进行的”RR旋转”,第二次是围绕”k3”进行的”LL旋转”。
/*
 * LR:左右对应的情况(左双旋转)。
 *
 * 返回值:旋转后的根节点
 */
private AVLTreeNode<T> leftRightRotation(AVLTreeNode<T> k3) {
    k3.left = rightRightRotation(k3.left);//右右旋转
    return leftLeftRotation(k3);//左左旋转
}
RL的旋转与上面LR的旋转是对称的,也是需要两次操作才能平衡。

/*
 * RL:右左对应的情况(右双旋转)。
 *
 * 返回值:旋转后的根节点
 */
private AVLTreeNode<T> rightLeftRotation(AVLTreeNode<T> k1) {
    k1.right = leftLeftRotation(k1.right);//先左左
    return rightRightRotation(k1);//再右右
}
插入过程与二叉搜索树的插入总体过程是相同的,但是,在插入完成以后,必须要判断整棵树是不是处于平衡的状态,如果不平衡的话,要根据上面四种情况来进行调整。具体代码,见文章尾;
删除过程与二叉搜索树的删除总体过程是相同的,删除节点后,先调整树,使其有序,然后,必须要判断整棵树是不是处于平衡的状态,如果不平衡的话,要根据上面四种情况来进行调整。具体代码,见文章尾;
/**
 * Java 语言: AVL树
 *
 * @author skywang
 * @date 2013/11/07
 */
public class AVLTree<T extends Comparable<T>> {
    private AVLTreeNode<T> mRoot;    // 根结点
    // AVL树的节点(内部类)
    class AVLTreeNode<T extends Comparable<T>> {
        T key;                // 关键字(键值)
        int height;         // 高度
        AVLTreeNode<T> left;    // 左孩子
        AVLTreeNode<T> right;    // 右孩子
        public AVLTreeNode(T key, AVLTreeNode<T> left, AVLTreeNode<T> right) {
            this.key = key;
            this.left = left;
            this.right = right;
            this.height = 0;
        }
    }
    // 构造函数
    public AVLTree() {
        mRoot = null;
    }
    /*
     * 获取树的高度
     */
    private int height(AVLTreeNode<T> tree) {
        if (tree != null)
            return tree.height;
        return 0;
    }
    public int height() {
        return height(mRoot);
    }
    /*
     * 比较两个值的大小
     */
    private int max(int a, int b) {
        return a>b ? a : b;
    }
    /*
     * 前序遍历"AVL树"
     */
    private void preOrder(AVLTreeNode<T> tree) {
        if(tree != null) {
            System.out.print(tree.key+" ");
            preOrder(tree.left);
            preOrder(tree.right);
        }
    }
    public void preOrder() {
        preOrder(mRoot);
    }
    /*
     * 中序遍历"AVL树"
     */
    private void inOrder(AVLTreeNode<T> tree) {
        if(tree != null)
        {
            inOrder(tree.left);
            System.out.print(tree.key+" ");
            inOrder(tree.right);
        }
    }
    public void inOrder() {
        inOrder(mRoot);
    }
    /*
     * 后序遍历"AVL树"
     */
    private void postOrder(AVLTreeNode<T> tree) {
        if(tree != null) {
            postOrder(tree.left);
            postOrder(tree.right);
            System.out.print(tree.key+" ");
        }
    }
    public void postOrder() {
        postOrder(mRoot);
    }
    /*
     * (递归实现)查找"AVL树x"中键值为key的节点
     */
    private AVLTreeNode<T> search(AVLTreeNode<T> x, T key) {
        if (x==null)
            return x;
        int cmp = key.compareTo(x.key);
        if (cmp < 0)
            return search(x.left, key);
        else if (cmp > 0)
            return search(x.right, key);
        else
            return x;
    }
    public AVLTreeNode<T> search(T key) {
        return search(mRoot, key);
    }
    /*
     * (非递归实现)查找"AVL树x"中键值为key的节点
     */
    private AVLTreeNode<T> iterativeSearch(AVLTreeNode<T> x, T key) {
        while (x!=null) {
            int cmp = key.compareTo(x.key);
            if (cmp < 0)
                x = x.left;
            else if (cmp > 0)
                x = x.right;
            else
                return x;
        }
        return x;
    }
    public AVLTreeNode<T> iterativeSearch(T key) {
        return iterativeSearch(mRoot, key);
    }
    /* 
     * 查找最小结点:返回tree为根结点的AVL树的最小结点。
     */
    private AVLTreeNode<T> minimum(AVLTreeNode<T> tree) {
        if (tree == null)
            return null;
        while(tree.left != null)
            tree = tree.left;
        return tree;
    }
    public T minimum() {
        AVLTreeNode<T> p = minimum(mRoot);
        if (p != null)
            return p.key;
        return null;
    }
    /* 
     * 查找最大结点:返回tree为根结点的AVL树的最大结点。
     */
    private AVLTreeNode<T> maximum(AVLTreeNode<T> tree) {
        if (tree == null)
            return null;
        while(tree.right != null)
            tree = tree.right;
        return tree;
    }
    public T maximum() {
        AVLTreeNode<T> p = maximum(mRoot);
        if (p != null)
            return p.key;
        return null;
    }
    /*
     * LL:左左对应的情况(左单旋转)。
     *
     * 返回值:旋转后的根节点
     */
    private AVLTreeNode<T> leftLeftRotation(AVLTreeNode<T> k2) {
        AVLTreeNode<T> k1;
        k1 = k2.left;
        k2.left = k1.right;
        k1.right = k2;
        k2.height = max( height(k2.left), height(k2.right)) + 1;
        k1.height = max( height(k1.left), k2.height) + 1;
        return k1;
    }
    /*
     * RR:右右对应的情况(右单旋转)。
     *
     * 返回值:旋转后的根节点
     */
    private AVLTreeNode<T> rightRightRotation(AVLTreeNode<T> k1) {
        AVLTreeNode<T> k2;
        k2 = k1.right;
        k1.right = k2.left;
        k2.left = k1;
        k1.height = max( height(k1.left), height(k1.right)) + 1;
        k2.height = max( height(k2.right), k1.height) + 1;
        return k2;
    }
    /*
     * LR:左右对应的情况(左双旋转)。
     *
     * 返回值:旋转后的根节点
     */
    private AVLTreeNode<T> leftRightRotation(AVLTreeNode<T> k3) {
        k3.left = rightRightRotation(k3.left);
        return leftLeftRotation(k3);
    }
    /*
     * RL:右左对应的情况(右双旋转)。
     *
     * 返回值:旋转后的根节点
     */
    private AVLTreeNode<T> rightLeftRotation(AVLTreeNode<T> k1) {
        k1.right = leftLeftRotation(k1.right);
        return rightRightRotation(k1);
    }
    /* 
     * 将结点插入到AVL树中,并返回根节点
     *
     * 参数说明:
     *     tree AVL树的根结点
     *     key 插入的结点的键值
     * 返回值:
     *     根节点
     */
    private AVLTreeNode<T> insert(AVLTreeNode<T> tree, T key) {
        if (tree == null) {
            // 新建节点
            tree = new AVLTreeNode<T>(key, null, null);
            if (tree==null) {
                System.out.println("ERROR: create avltree node failed!");
                return null;
            }
        } else {
            int cmp = key.compareTo(tree.key);
               if (cmp < 0) {    // 应该将key插入到"tree的左子树"的情况
                tree.left = insert(tree.left, key);
                // 插入节点后,若AVL树失去平衡,则进行相应的调节。
                if (height(tree.left) - height(tree.right) == 2) {
                    if (key.compareTo(tree.left.key) < 0)
                        tree = leftLeftRotation(tree);
                    else
                        tree = leftRightRotation(tree);
                }
            } else if (cmp > 0) {    // 应该将key插入到"tree的右子树"的情况
                tree.right = insert(tree.right, key);
                // 插入节点后,若AVL树失去平衡,则进行相应的调节。
                if (height(tree.right) - height(tree.left) == 2) {
                    if (key.compareTo(tree.right.key) > 0)
                        tree = rightRightRotation(tree);
                    else
                        tree = rightLeftRotation(tree);
                }
            } else {    // cmp==0
                System.out.println("添加失败:不允许添加相同的节点!");
            }
        }
        tree.height = max( height(tree.left), height(tree.right)) + 1;
        return tree;
    }
    public void insert(T key) {
        mRoot = insert(mRoot, key);
    }
    /* 
     * 删除结点(z),返回根节点
     *
     * 参数说明:
     *     tree AVL树的根结点
     *     z 待删除的结点
     * 返回值:
     *     根节点
     */
    private AVLTreeNode<T> remove(AVLTreeNode<T> tree, AVLTreeNode<T> z) {
        // 根为空 或者 没有要删除的节点,直接返回null。
        if (tree==null || z==null)
            return null;
        int cmp = z.key.compareTo(tree.key);
        if (cmp < 0) {        // 待删除的节点在"tree的左子树"中
            tree.left = remove(tree.left, z);
            // 删除节点后,若AVL树失去平衡,则进行相应的调节。
            if (height(tree.right) - height(tree.left) == 2) {
                AVLTreeNode<T> r =  tree.right;
                if (height(r.left) > height(r.right))
                    tree = rightLeftRotation(tree);
                else
                    tree = rightRightRotation(tree);
            }
        } else if (cmp > 0) {    // 待删除的节点在"tree的右子树"中
            tree.right = remove(tree.right, z);
            // 删除节点后,若AVL树失去平衡,则进行相应的调节。
            if (height(tree.left) - height(tree.right) == 2) {
                AVLTreeNode<T> l =  tree.left;
                if (height(l.right) > height(l.left))
                    tree = leftRightRotation(tree);
                else
                    tree = leftLeftRotation(tree);
            }
        } else {    // tree是对应要删除的节点。
            // tree的左右孩子都非空
            if ((tree.left!=null) && (tree.right!=null)) {
                if (height(tree.left) > height(tree.right)) {
                    // 如果tree的左子树比右子树高;
                    // 则(01)找出tree的左子树中的最大节点
                    //   (02)将该最大节点的值赋值给tree。
                    //   (03)删除该最大节点。
                    // 这类似于用"tree的左子树中最大节点"做"tree"的替身;
                    // 采用这种方式的好处是:删除"tree的左子树中最大节点"之后,AVL树仍然是平衡的。
                    AVLTreeNode<T> max = maximum(tree.left);
                    tree.key = max.key;
                    tree.left = remove(tree.left, max);
                } else {
                    // 如果tree的左子树不比右子树高(即它们相等,或右子树比左子树高1)
                    // 则(01)找出tree的右子树中的最小节点
                    //   (02)将该最小节点的值赋值给tree。
                    //   (03)删除该最小节点。
                    // 这类似于用"tree的右子树中最小节点"做"tree"的替身;
                    // 采用这种方式的好处是:删除"tree的右子树中最小节点"之后,AVL树仍然是平衡的。
                    AVLTreeNode<T> min = maximum(tree.right);
                    tree.key = min.key;
                    tree.right = remove(tree.right, min);
                }
            } else {
                AVLTreeNode<T> tmp = tree;
                tree = (tree.left!=null) ? tree.left : tree.right;
                tmp = null;
            }
        }
        return tree;
    }
    public void remove(T key) {
        AVLTreeNode<T> z; 
        if ((z = search(mRoot, key)) != null)
            mRoot = remove(mRoot, z);
    }
    /* 
     * 销毁AVL树
     */
    private void destroy(AVLTreeNode<T> tree) {
        if (tree==null)
            return ;
        if (tree.left != null)
            destroy(tree.left);
        if (tree.right != null)
            destroy(tree.right);
        tree = null;
    }
    public void destroy() {
        destroy(mRoot);
    }
    /*
     * 打印"二叉查找树"
     *
     * key        -- 节点的键值 
     * direction  --  0,表示该节点是根节点;
     *               -1,表示该节点是它的父结点的左孩子;
     *                1,表示该节点是它的父结点的右孩子。
     */
    private void print(AVLTreeNode<T> tree, T key, int direction) {
        if(tree != null) {
            if(direction==0)    // tree是根节点
                System.out.printf("%2d is root\n", tree.key, key);
            else                // tree是分支节点
                System.out.printf("%2d is %2d‘s %6s child\n", tree.key, key, direction==1?"right" : "left");
            print(tree.left, tree.key, -1);
            print(tree.right,tree.key,  1);
        }
    }
    public void print() {
        if (mRoot != null)
            print(mRoot, mRoot.key, 0);
    }
}
代码参考自如果天空不死
原文:http://blog.csdn.net/wangxiaotongfan/article/details/51516430