首页 > 其他 > 详细

浅析 Redis 复制

时间:2016-06-03 19:45:20      阅读:437      评论:0      收藏:0      [点我收藏+]

摘要


早期的 RDBMS 被设计为运行在单个CPU之上,读写操作都由经单个数据库实例完成,复制技术使得数据库的读写操作可以分散在运行于不同CPU之上的独立服务器上.Redis作为一个开源的、优秀的key-value缓存及持久化存储解决方案,也提供了复制功能,本文主要介绍Redis的复制原理及特性。


Redis复制概论


数据库复制指的是发生在不同数据库实例之间,单向的信息传播的行为,通常由被复制方和复制方组成,被复制方和复制方之间建立网络连接,复制方式通常为被复制方主动将数据发送到复制方,复制方接收到数据存储在当前实例,最终目的是为了保证双方的数据一致、同步。


技术分享

复制示意图


Redis复制方式


Redis的复制方式有两种,一种是主(master)-从(slave)模式,一种是从(slave)-从(slave)模式,因此Redis的复制拓扑图会丰富一些,可以像星型拓扑,也可以像个有向无环:


技术分享

Redis集群复制结构图


通过配置多个Redis实例独立运行、定向复制,形成Redis集群,master负责写、slave负责读。


复制优点


通过配置多个Redis实例,数据备份在不同的实例上,主库专注写请求,从库负责读请求,这样的好处主要体现在下面几个方面:


1、高可用性


在一个Redis集群中,如果master宕机,slave可以介入并取代master的位置,因此对于整个Redis服务来说不至于提供不了服务,这样使得整个Redis服务足够安全。


2、高性能


在一个Redis集群中,master负责写请求,slave负责读请求,这么做一方面通过将读请求分散到其他机器从而大大减少了master服务器的压力,另一方面slave专注于提供读服务从而提高了响应和读取速度。


3、水平扩展性


通过增加slave机器可以横向(水平)扩展Redis服务的整个查询服务的能力。


复制缺点


复制提供了高可用性的解决方案,但同时引入了分布式计算的复杂度问题,认为有两个核心问题:


  1. 数据一致性问题,如何保证master服务器写入的数据能够及时同步到slave机器上。


  2. 编程复杂,如何在客户端提供读写分离的实现方案,通过客户端实现将读写请求分别路由到master和slave实例上。


上面两个问题,尤其是第一个问题是Redis服务实现一直在演变,致力于解决的一个问题。


复制实时性和数据一致性矛盾


Redis提供了提高数据一致性的解决方案,本文后面会进行介绍,一致性程度的增加虽然使得我能够更信任数据,但是更好的一致性方案通常伴随着性能的损失,从而减少了吞吐量和服务能力。然而我们希望系统的性能达到最优,则必须要牺牲一致性的程度,因此Redis的复制实时性和数据一致性是存在矛盾的。


Redis复制原理及特性


slave指向master


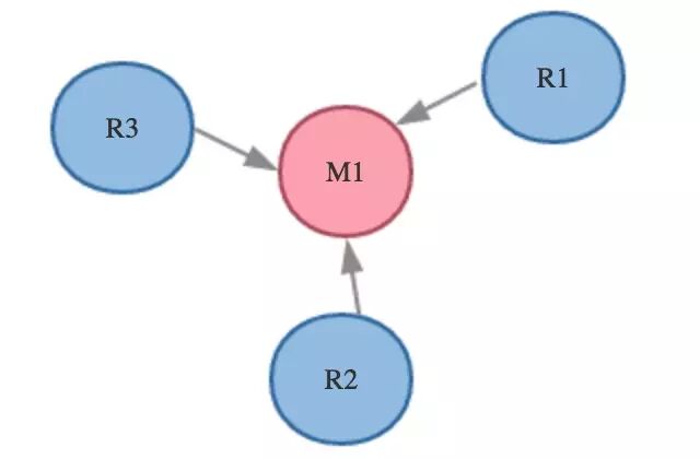
举个例子,我们有四台redis实例,M1,R1、R2、R3,其中M1为master,R1、R2、R3分别为三台slave redis实例。在M1启动如下:


./redis-server ../redis8000.conf --port 8000


下面分别为R1、R2、R3的启动命令:


./redis-server ../redis8001.conf --port 8001 --slaveof 127.0.0.1 8000

./redis-server ../redis8002.conf --port 8002 --slaveof 127.0.0.1 8000

./redis-server ../redis8003.conf --port 8003 --slaveof 127.0.0.1 8000


这样,我们就成功的启动了四台Redis实例,master实例的服务端口为8000,R1、R2、R3的服务端口分别为8001、8002、8003,集群图如下:


技术分享

Redis集群复制拓扑


上面的命令在slave启动的时候就指定了master机器,我们也可以在slave运行的时候通过slaveof命令来指定master机器。


复制过程


Redis复制主要由SYNC命令实现,复制过程如下图:


技术分享

Redis复制过程


上图为Redis复制工作过程:


  1. slave向master发送sync命令。


  2. master开启子进程来讲dataset写入rdb文件,同时将子进程完成之前接收到的写命令缓存起来。


  3. 子进程写完,父进程得知,开始将RDB文件发送给slave。


  4. master发送完RDB文件,将缓存的命令也发给slave。


  5. master增量的把写命令发给slave。


值得注意的是,当slave跟master的连接断开时,slave可以自动的重新连接master,在redis2.8版本之前,每当slave进程挂掉重新连接master的时候都会开始新的一轮全量复制。如果master同时接收到多个slave的同步请求,则master只需要备份一次RDB文件。


增量复制


上面复制过程介绍的最后提到,slave和master断开了、当slave和master重新连接上之后需要全量复制,这个策略是很不友好的,从Redis2.8开始,Redis提供了增量复制的机制:


技术分享

增量复制机制


master除了备份RDB文件之外还会维护者一个环形队列,以及环形队列的写索引和slave同步的全局offset,环形队列用于存储最新的操作数据,当slave和maste断开重连之后,会把slave维护的offset,也就是上一次同步到哪里的这个值告诉master,同时会告诉master上次和当前slave连接的master的runid,满足下面两个条件,Redis不会全量复制:


  1. slave传递的run id和master的run id一致。


  2. master在环形队列上可以找到对呀offset的值。


满足上面两个条件,Redis就不会全量复制,这样的好处是大大的提高的性能,不做无效的功。


增量复制是由psync命令实现的,slave可以通过psync命令来让Redis进行增量复制,当然最终是否能够增量复制取决于环形队列的大小和slave的断线时间长短和重连的这个master是否是之前的master。


环形队列大小配置参数:


repl-backlog-size 1mb


Redis同时也提供了当没有slave需要同步的时候,多久可以释放环形队列:


repl-backlog-ttl 3600


免持久化复制


免持久化机制官方叫做Diskless Replication,前面基于RDB文件写磁盘的方式可以看出,Redis必须要先将RDB文件写入磁盘,才进行网络传输,那么为什么不能直接通过网络把RDB文件传送给slave呢?免持久化复制就是做这个事情的,而且在Redis2.8.18版本开始支持,当然目前还是实验阶段。


值得注意的是,一旦基于Diskless Replication的复制传送开始,新的slave请求需要等待这次传输完毕才能够得到服务。


是否开启Diskless Replication的开关配置为:


repo-diskless-sync no


为了让后续的slave能够尽量赶上本次复制,Redis提供了一个参数配置指定复制开始的时间延迟:


repl-diskless-sync-delay 5


slave只读模式


自从Redis2.6版本开始,支持对slave的只读模式的配置,默认对slave的配置也是只读。只读模式的slave将会拒绝客户端的写请求,从而避免因为从slave写入而导致的数据不一致问题。


半同步复制


和MySQL复制策略有点类似,Redis复制本身是异步的,但也提供了半同步的复制策略,半同步复制策略在Redis复制中的语义是这样的:


允许用户给出这样的配置:在maste接受写操作的时候,只有当一定时间间隔内,至少有N台slave在线,否则写入无效。


上面功能的实现基于Redis下面特性:


  1. Redis slaves每秒钟会ping一次master,告诉master当前slave复制到哪里了。


  2. Redis master会记住每个slave复制到哪里了。


我们可以通过下面配置来指定时间间隔和N这个值:


min-slaves-to-write

min-slaves-max-lag


当配置了上面两个参数之后,一旦对于一个写操作没有满足上面的两个条件,则master会报错,并且将本次写操作视为无效。这有点像CAP理论中的“C”,即一致性实现,虽然半同步策略不能够完全保证master和slave的数据一致性,但是相对减少了不一致性的窗口期。


总结


本文在理解Redis复制概念和复制的优缺点的基础之上介绍了当前Redis复制工作原理以及主要特性,希望能够帮助大家。


摘要


早期的 RDBMS 被设计为运行在单个CPU之上,读写操作都由经单个数据库实例完成,复制技术使得数据库的读写操作可以分散在运行于不同CPU之上的独立服务器上.Redis作为一个开源的、优秀的key-value缓存及持久化存储解决方案,也提供了复制功能,本文主要介绍Redis的复制原理及特性。


Redis复制概论


数据库复制指的是发生在不同数据库实例之间,单向的信息传播的行为,通常由被复制方和复制方组成,被复制方和复制方之间建立网络连接,复制方式通常为被复制方主动将数据发送到复制方,复制方接收到数据存储在当前实例,最终目的是为了保证双方的数据一致、同步。


技术分享

复制示意图


Redis复制方式


Redis的复制方式有两种,一种是主(master)-从(slave)模式,一种是从(slave)-从(slave)模式,因此Redis的复制拓扑图会丰富一些,可以像星型拓扑,也可以像个有向无环:


技术分享

Redis集群复制结构图


通过配置多个Redis实例独立运行、定向复制,形成Redis集群,master负责写、slave负责读。


复制优点


通过配置多个Redis实例,数据备份在不同的实例上,主库专注写请求,从库负责读请求,这样的好处主要体现在下面几个方面:


1、高可用性


在一个Redis集群中,如果master宕机,slave可以介入并取代master的位置,因此对于整个Redis服务来说不至于提供不了服务,这样使得整个Redis服务足够安全。


2、高性能


在一个Redis集群中,master负责写请求,slave负责读请求,这么做一方面通过将读请求分散到其他机器从而大大减少了master服务器的压力,另一方面slave专注于提供读服务从而提高了响应和读取速度。


3、水平扩展性


通过增加slave机器可以横向(水平)扩展Redis服务的整个查询服务的能力。


复制缺点


复制提供了高可用性的解决方案,但同时引入了分布式计算的复杂度问题,认为有两个核心问题:


  1. 数据一致性问题,如何保证master服务器写入的数据能够及时同步到slave机器上。


  2. 编程复杂,如何在客户端提供读写分离的实现方案,通过客户端实现将读写请求分别路由到master和slave实例上。


上面两个问题,尤其是第一个问题是Redis服务实现一直在演变,致力于解决的一个问题。


复制实时性和数据一致性矛盾


Redis提供了提高数据一致性的解决方案,本文后面会进行介绍,一致性程度的增加虽然使得我能够更信任数据,但是更好的一致性方案通常伴随着性能的损失,从而减少了吞吐量和服务能力。然而我们希望系统的性能达到最优,则必须要牺牲一致性的程度,因此Redis的复制实时性和数据一致性是存在矛盾的。


Redis复制原理及特性


slave指向master


举个例子,我们有四台redis实例,M1,R1、R2、R3,其中M1为master,R1、R2、R3分别为三台slave redis实例。在M1启动如下:


./redis-server ../redis8000.conf --port 8000


下面分别为R1、R2、R3的启动命令:


./redis-server ../redis8001.conf --port 8001 --slaveof 127.0.0.1 8000

./redis-server ../redis8002.conf --port 8002 --slaveof 127.0.0.1 8000

./redis-server ../redis8003.conf --port 8003 --slaveof 127.0.0.1 8000


这样,我们就成功的启动了四台Redis实例,master实例的服务端口为8000,R1、R2、R3的服务端口分别为8001、8002、8003,集群图如下:


技术分享

Redis集群复制拓扑


上面的命令在slave启动的时候就指定了master机器,我们也可以在slave运行的时候通过slaveof命令来指定master机器。


复制过程


Redis复制主要由SYNC命令实现,复制过程如下图:


技术分享

Redis复制过程


上图为Redis复制工作过程:


  1. slave向master发送sync命令。


  2. master开启子进程来讲dataset写入rdb文件,同时将子进程完成之前接收到的写命令缓存起来。


  3. 子进程写完,父进程得知,开始将RDB文件发送给slave。


  4. master发送完RDB文件,将缓存的命令也发给slave。


  5. master增量的把写命令发给slave。


值得注意的是,当slave跟master的连接断开时,slave可以自动的重新连接master,在redis2.8版本之前,每当slave进程挂掉重新连接master的时候都会开始新的一轮全量复制。如果master同时接收到多个slave的同步请求,则master只需要备份一次RDB文件。


增量复制


上面复制过程介绍的最后提到,slave和master断开了、当slave和master重新连接上之后需要全量复制,这个策略是很不友好的,从Redis2.8开始,Redis提供了增量复制的机制:


技术分享

增量复制机制


master除了备份RDB文件之外还会维护者一个环形队列,以及环形队列的写索引和slave同步的全局offset,环形队列用于存储最新的操作数据,当slave和maste断开重连之后,会把slave维护的offset,也就是上一次同步到哪里的这个值告诉master,同时会告诉master上次和当前slave连接的master的runid,满足下面两个条件,Redis不会全量复制:


  1. slave传递的run id和master的run id一致。


  2. master在环形队列上可以找到对呀offset的值。


满足上面两个条件,Redis就不会全量复制,这样的好处是大大的提高的性能,不做无效的功。


增量复制是由psync命令实现的,slave可以通过psync命令来让Redis进行增量复制,当然最终是否能够增量复制取决于环形队列的大小和slave的断线时间长短和重连的这个master是否是之前的master。


环形队列大小配置参数:


repl-backlog-size 1mb


Redis同时也提供了当没有slave需要同步的时候,多久可以释放环形队列:


repl-backlog-ttl 3600


免持久化复制


免持久化机制官方叫做Diskless Replication,前面基于RDB文件写磁盘的方式可以看出,Redis必须要先将RDB文件写入磁盘,才进行网络传输,那么为什么不能直接通过网络把RDB文件传送给slave呢?免持久化复制就是做这个事情的,而且在Redis2.8.18版本开始支持,当然目前还是实验阶段。


值得注意的是,一旦基于Diskless Replication的复制传送开始,新的slave请求需要等待这次传输完毕才能够得到服务。


是否开启Diskless Replication的开关配置为:


repo-diskless-sync no


为了让后续的slave能够尽量赶上本次复制,Redis提供了一个参数配置指定复制开始的时间延迟:


repl-diskless-sync-delay 5


slave只读模式


自从Redis2.6版本开始,支持对slave的只读模式的配置,默认对slave的配置也是只读。只读模式的slave将会拒绝客户端的写请求,从而避免因为从slave写入而导致的数据不一致问题。


半同步复制


和MySQL复制策略有点类似,Redis复制本身是异步的,但也提供了半同步的复制策略,半同步复制策略在Redis复制中的语义是这样的:


允许用户给出这样的配置:在maste接受写操作的时候,只有当一定时间间隔内,至少有N台slave在线,否则写入无效。


上面功能的实现基于Redis下面特性:


  1. Redis slaves每秒钟会ping一次master,告诉master当前slave复制到哪里了。


  2. Redis master会记住每个slave复制到哪里了。


我们可以通过下面配置来指定时间间隔和N这个值:


min-slaves-to-write

min-slaves-max-lag


当配置了上面两个参数之后,一旦对于一个写操作没有满足上面的两个条件,则master会报错,并且将本次写操作视为无效。这有点像CAP理论中的“C”,即一致性实现,虽然半同步策略不能够完全保证master和slave的数据一致性,但是相对减少了不一致性的窗口期。




总结


本文在理解Redis复制概念和复制的优缺点的基础之上介绍了当前Redis复制工作原理以及主要特性,希望能够帮助大家。


总结


本文在理解Redis复制概念和复制的优缺点的基础之上介绍了当前Redis复制工作原理以及主要特性,希望能够帮助大家。

浅析 Redis 复制

原文:http://blog.csdn.net/sdmxdzb/article/details/51566940

(0)
(0)
   
举报
评论 一句话评论(0
关于我们 - 联系我们 - 留言反馈 - 联系我们:wmxa8@hotmail.com
© 2014 bubuko.com 版权所有
打开技术之扣,分享程序人生!