最近在看深度学习的东西,一开始看的吴恩达的UFLDL教程,有中文版就直接看了,后来发现有些地方总是不是很明确,又去看英文版,然后又找了些资料看,才发现,中文版的译者在翻译的时候会对省略的公式推导过程进行补充,但是补充的又是错的,难怪觉得有问题。反向传播法其实是神经网络的基础了,但是很多人在学的时候总是会遇到一些问题,或者看到大篇的公式觉得好像很难就退缩了,其实不难,就是一个链式求导法则反复用。如果不想看公式,可以直接把数值带进去,实际的计算一下,体会一下这个过程之后再来推导公式,这样就会觉得很容易了。
说到神经网络,大家看到这个图应该不陌生:

这是典型的三层神经网络的基本构成,Layer L1是输入层,Layer L2是隐含层,Layer L3是隐含层,我们现在手里有一堆数据{x1,x2,x3,...,xn},输出也是一堆数据{y1,y2,y3,...,yn},现在要他们在隐含层做某种变换,让你把数据灌进去后得到你期望的输出。如果你希望你的输出和原始输入一样,那么就是最常见的自编码模型(Auto-Encoder)。可能有人会问,为什么要输入输出都一样呢?有什么用啊?其实应用挺广的,在图像识别,文本分类等等都会用到,我会专门再写一篇Auto-Encoder的文章来说明,包括一些变种之类的。如果你的输出和原始输入不一样,那么就是很常见的人工神经网络了,相当于让原始数据通过一个映射来得到我们想要的输出数据,也就是我们今天要讲的话题。
本文直接举一个例子,带入数值演示反向传播法的过程,公式的推导等到下次写Auto-Encoder的时候再写,其实也很简单,感兴趣的同学可以自己推导下试试:)(注:本文假设你已经懂得基本的神经网络构成,如果完全不懂,可以参考Poll写的笔记:[Mechine Learning & Algorithm] 神经网络基础)
假设,你有这样一个网络层:

第一层是输入层,包含两个神经元i1,i2,和截距项b1;第二层是隐含层,包含两个神经元h1,h2和截距项b2,第三层是输出o1,o2,每条线上标的wi是层与层之间连接的权重,激活函数我们默认为sigmoid函数。
现在对他们赋上初值,如下图:

其中,输入数据 i1=0.05,i2=0.10;
输出数据 o1=0.01,o2=0.99;
初始权重 w1=0.15,w2=0.20,w3=0.25,w4=0.30;
w5=0.40,w6=0.45,w7=0.50,w8=0.88
目标:给出输入数据i1,i2(0.05和0.10),使输出尽可能与原始输出o1,o2(0.01和0.99)接近。
Step 1 前向传播
1.输入层---->隐含层:
计算神经元h1的输入加权和:

神经元h1的输出o1:(此处用到激活函数为sigmoid函数):

同理,可计算出神经元h2的输出o2:
![]()
2.隐含层---->输出层:
计算输出层神经元o1和o2的值:

![]()
这样前向传播的过程就结束了,我们得到输出值为[0.75136079 , 0.772928465],与实际值[0.01 , 0.99]相差还很远,现在我们对误差进行反向传播,更新权值,重新计算输出。
Step 2 反向传播
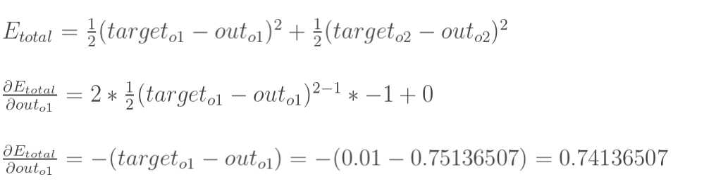
1.计算总误差
总误差:(square error)

但是有两个输出,所以分别计算o1和o2的误差,总误差为两者之和:



2.隐含层---->输出层的权值更新:
以权重参数w5为例,如果我们想知道w5对整体误差产生了多少影响,可以用整体误差对w5求偏导求出:(链式法则)

下面的图可以更直观的看清楚误差是怎样反向传播的:

现在我们来分别计算每个式子的值:
计算
:

计算
:

(这一步实际上就是对sigmoid函数求导,比较简单,可以自己推导一下)
计算
:

最后三者相乘:

这样我们就计算出整体误差E(total)对w5的偏导值。
回过头来再看看上面的公式,我们发现:

为了表达方便,用
来表示输出层的误差:

因此,整体误差E(total)对w5的偏导公式可以写成:

如果输出层误差计为负的话,也可以写成:

最后我们来更新w5的值:

(其中,
是学习速率,这里我们取0.5)
同理,可更新w6,w7,w8:

3.隐含层---->隐含层的权值更新:
方法其实与上面说的差不多,但是有个地方需要变一下,在上文计算总误差对w5的偏导时,是从out(o1)---->net(o1)---->w5,但是在隐含层之间的权值更新时,是out(h1)---->net(h1)---->w1,而out(h1)会接受E(o1)和E(o2)两个地方传来的误差,所以这个地方两个都要计算。

计算
:

先计算
:
![]()
![]()


同理,计算出:
![]()
两者相加得到总值:

再计算
:

再计算
:

最后,三者相乘:

为了简化公式,用sigma(h1)表示隐含层单元h1的误差:

最后,更新w1的权值:
![]()
同理,额可更新w2,w3,w4的权值:

这样误差反向传播法就完成了,最后我们再把更新的权值重新计算,不停地迭代,在这个例子中第一次迭代之后,总误差E(total)由0.298371109下降至0.291027924。迭代10000次后,总误差为0.000035085,输出为[0.015912196,0.984065734](原输入为[0.01,0.99]),证明效果还是不错的。
代码(Python):
1 #coding:utf-8 2 import random 3 import math 4 5 # 6 # 参数解释: 7 # "pd_" :偏导的前缀 8 # "d_" :导数的前缀 9 # "w_ho" :隐含层到输出层的权重系数索引 10 # "w_ih" :输入层到隐含层的权重系数的索引 11 12 class NeuralNetwork: 13 LEARNING_RATE = 0.5 14 15 def __init__(self, num_inputs, num_hidden, num_outputs, hidden_layer_weights = None, hidden_layer_bias = None, output_layer_weights = None, output_layer_bias = None): 16 self.num_inputs = num_inputs 17 18 self.hidden_layer = NeuronLayer(num_hidden, hidden_layer_bias) 19 self.output_layer = NeuronLayer(num_outputs, output_layer_bias) 20 21 self.init_weights_from_inputs_to_hidden_layer_neurons(hidden_layer_weights) 22 self.init_weights_from_hidden_layer_neurons_to_output_layer_neurons(output_layer_weights) 23 24 def init_weights_from_inputs_to_hidden_layer_neurons(self, hidden_layer_weights): 25 weight_num = 0 26 for h in range(len(self.hidden_layer.neurons)): 27 for i in range(self.num_inputs): 28 if not hidden_layer_weights: 29 self.hidden_layer.neurons[h].weights.append(random.random()) 30 else: 31 self.hidden_layer.neurons[h].weights.append(hidden_layer_weights[weight_num]) 32 weight_num += 1 33 34 def init_weights_from_hidden_layer_neurons_to_output_layer_neurons(self, output_layer_weights): 35 weight_num = 0 36 for o in range(len(self.output_layer.neurons)): 37 for h in range(len(self.hidden_layer.neurons)): 38 if not output_layer_weights: 39 self.output_layer.neurons[o].weights.append(random.random()) 40 else: 41 self.output_layer.neurons[o].weights.append(output_layer_weights[weight_num]) 42 weight_num += 1 43 44 def inspect(self): 45 print(‘------‘) 46 print(‘* Inputs: {}‘.format(self.num_inputs)) 47 print(‘------‘) 48 print(‘Hidden Layer‘) 49 self.hidden_layer.inspect() 50 print(‘------‘) 51 print(‘* Output Layer‘) 52 self.output_layer.inspect() 53 print(‘------‘) 54 55 def feed_forward(self, inputs): 56 hidden_layer_outputs = self.hidden_layer.feed_forward(inputs) 57 return self.output_layer.feed_forward(hidden_layer_outputs) 58 59 def train(self, training_inputs, training_outputs): 60 self.feed_forward(training_inputs) 61 62 # 1. 输出神经元的值 63 pd_errors_wrt_output_neuron_total_net_input = [0] * len(self.output_layer.neurons) 64 for o in range(len(self.output_layer.neurons)): 65 66 # ∂E/∂z? 67 pd_errors_wrt_output_neuron_total_net_input[o] = self.output_layer.neurons[o].calculate_pd_error_wrt_total_net_input(training_outputs[o]) 68 69 # 2. 隐含层神经元的值 70 pd_errors_wrt_hidden_neuron_total_net_input = [0] * len(self.hidden_layer.neurons) 71 for h in range(len(self.hidden_layer.neurons)): 72 73 # dE/dy? = Σ ∂E/∂z? * ∂z/∂y? = Σ ∂E/∂z? * w?? 74 d_error_wrt_hidden_neuron_output = 0 75 for o in range(len(self.output_layer.neurons)): 76 d_error_wrt_hidden_neuron_output += pd_errors_wrt_output_neuron_total_net_input[o] * self.output_layer.neurons[o].weights[h] 77 78 # ∂E/∂z? = dE/dy? * ∂z?/∂ 79 pd_errors_wrt_hidden_neuron_total_net_input[h] = d_error_wrt_hidden_neuron_output * self.hidden_layer.neurons[h].calculate_pd_total_net_input_wrt_input() 80 81 # 3. 更新输出层权重系数 82 for o in range(len(self.output_layer.neurons)): 83 for w_ho in range(len(self.output_layer.neurons[o].weights)): 84 85 # ∂E?/∂w?? = ∂E/∂z? * ∂z?/∂w?? 86 pd_error_wrt_weight = pd_errors_wrt_output_neuron_total_net_input[o] * self.output_layer.neurons[o].calculate_pd_total_net_input_wrt_weight(w_ho) 87 88 # Δw = α * ∂E?/∂w? 89 self.output_layer.neurons[o].weights[w_ho] -= self.LEARNING_RATE * pd_error_wrt_weight 90 91 # 4. 更新隐含层的权重系数 92 for h in range(len(self.hidden_layer.neurons)): 93 for w_ih in range(len(self.hidden_layer.neurons[h].weights)): 94 95 # ∂E?/∂w? = ∂E/∂z? * ∂z?/∂w? 96 pd_error_wrt_weight = pd_errors_wrt_hidden_neuron_total_net_input[h] * self.hidden_layer.neurons[h].calculate_pd_total_net_input_wrt_weight(w_ih) 97 98 # Δw = α * ∂E?/∂w? 99 self.hidden_layer.neurons[h].weights[w_ih] -= self.LEARNING_RATE * pd_error_wrt_weight 100 101 def calculate_total_error(self, training_sets): 102 total_error = 0 103 for t in range(len(training_sets)): 104 training_inputs, training_outputs = training_sets[t] 105 self.feed_forward(training_inputs) 106 for o in range(len(training_outputs)): 107 total_error += self.output_layer.neurons[o].calculate_error(training_outputs[o]) 108 return total_error 109 110 class NeuronLayer: 111 def __init__(self, num_neurons, bias): 112 113 # 同一层的神经元共享一个截距项b 114 self.bias = bias if bias else random.random() 115 116 self.neurons = [] 117 for i in range(num_neurons): 118 self.neurons.append(Neuron(self.bias)) 119 120 def inspect(self): 121 print(‘Neurons:‘, len(self.neurons)) 122 for n in range(len(self.neurons)): 123 print(‘ Neuron‘, n) 124 for w in range(len(self.neurons[n].weights)): 125 print(‘ Weight:‘, self.neurons[n].weights[w]) 126 print(‘ Bias:‘, self.bias) 127 128 def feed_forward(self, inputs): 129 outputs = [] 130 for neuron in self.neurons: 131 outputs.append(neuron.calculate_output(inputs)) 132 return outputs 133 134 def get_outputs(self): 135 outputs = [] 136 for neuron in self.neurons: 137 outputs.append(neuron.output) 138 return outputs 139 140 class Neuron: 141 def __init__(self, bias): 142 self.bias = bias 143 self.weights = [] 144 145 def calculate_output(self, inputs): 146 self.inputs = inputs 147 self.output = self.squash(self.calculate_total_net_input()) 148 return self.output 149 150 def calculate_total_net_input(self): 151 total = 0 152 for i in range(len(self.inputs)): 153 total += self.inputs[i] * self.weights[i] 154 return total + self.bias 155 156 # 激活函数sigmoid 157 def squash(self, total_net_input): 158 return 1 / (1 + math.exp(-total_net_input)) 159 160 161 def calculate_pd_error_wrt_total_net_input(self, target_output): 162 return self.calculate_pd_error_wrt_output(target_output) * self.calculate_pd_total_net_input_wrt_input(); 163 164 # 每一个神经元的误差是由平方差公式计算的 165 def calculate_error(self, target_output): 166 return 0.5 * (target_output - self.output) ** 2 167 168 169 def calculate_pd_error_wrt_output(self, target_output): 170 return -(target_output - self.output) 171 172 173 def calculate_pd_total_net_input_wrt_input(self): 174 return self.output * (1 - self.output) 175 176 177 def calculate_pd_total_net_input_wrt_weight(self, index): 178 return self.inputs[index] 179 180 181 # 文中的例子: 182 183 nn = NeuralNetwork(2, 2, 2, hidden_layer_weights=[0.15, 0.2, 0.25, 0.3], hidden_layer_bias=0.35, output_layer_weights=[0.4, 0.45, 0.5, 0.55], output_layer_bias=0.6) 184 for i in range(10000): 185 nn.train([0.05, 0.1], [0.01, 0.09]) 186 print(i, round(nn.calculate_total_error([[[0.05, 0.1], [0.01, 0.09]]]), 9)) 187 188 189 #另外一个例子,可以把上面的例子注释掉再运行一下: 190 191 # training_sets = [ 192 # [[0, 0], [0]], 193 # [[0, 1], [1]], 194 # [[1, 0], [1]], 195 # [[1, 1], [0]] 196 # ] 197 198 # nn = NeuralNetwork(len(training_sets[0][0]), 5, len(training_sets[0][1])) 199 # for i in range(10000): 200 # training_inputs, training_outputs = random.choice(training_sets) 201 # nn.train(training_inputs, training_outputs) 202 # print(i, nn.calculate_total_error(training_sets))
最后写到这里就结束了,现在还不会用latex编辑数学公式,本来都直接想写在草稿纸上然后扫描了传上来,但是觉得太影响阅读体验了。以后会用公式编辑器后再重把公式重新编辑一遍。稳重使用的是sigmoid激活函数,实际还有几种不同的激活函数可以选择,具体的可以参考文献[3],最后推荐一个在线演示神经网络变化的网址:http://www.emergentmind.com/neural-network,可以自己填输入输出,然后观看每一次迭代权值的变化,很好玩~如果有错误的或者不懂的欢迎留言:)
参考文献:
1.Poll的笔记:[Mechine Learning & Algorithm] 神经网络基础(http://www.cnblogs.com/maybe2030/p/5597716.html#3457159 )
2.Rachel_Zhang:http://blog.csdn.net/abcjennifer/article/details/7758797
3.http://www.cedar.buffalo.edu/%7Esrihari/CSE574/Chap5/Chap5.3-BackProp.pdf
------------------------------------本博客所有内容以学习、研究和分享为主,如需转载,请联系本人,标明作者和出处,并且是非商业用途,谢谢!--------------------------------
一文弄懂神经网络中的反向传播法——BackPropagation
原文:http://www.cnblogs.com/charlotte77/p/5629865.html