线性规划
首先一般所有的线性规划问题我们都可以转换成如下标准型:

但是我们可以发现上面都是不等式,而我们计算中更希望是等式,所以我们引入这个新的概念:松弛型:

很显然我们最后要求是所有的约束左边的变量都不小于0。而求解这类问题,我们又有一套十分便利的模型算法:单纯形
基变量:松弛型等式左边的所有变量
非基变量:松弛型等式右侧的所有变量
基本解:一组基变量和非基变量蕴含着一组基本解,即所有的非基变量都为0,基变量都为等式右侧的常数项(这里要求常数项为正,为负时我们后面讨论)
算法原理:
可证线性规划的解空间是一个凸形区域,也就是说全局最优解只有一个,或者同时有多个平行的最优解。由上性质我们可以知道,局部最优解一定时全局最优解,这就是单纯形的算法思想。
算法过程:
转轴操作:选择一个基变量和非基变量,将其互换
simplex操作:主过程,从一个基本解出发,经过一系列的转轴操作,找到最优解
举例:
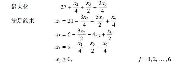
求解如下问题:

第一步:互换x1与x6

第二步:互换x3与x5

第三步:互换x2与x3

此时我们得到的基本解:(x1, x2, x3, x4, x5, x6) = (8, 4, 0, 18, 0, 0),易验证就是最后的最优解
算法伪代码:
1 def Simplex(A, b, c): 2 initialization(A, b, c) 3 while there is e that Ce > 0 do: 4 find the index l that Ale > 0 and minimizes bi/Ale 5 if all l, Ale <= 0 then: 6 return Unbounded 7 else: 8 pivot(A, b, c, l, e)
其中我们发现有一个“initialization”函数就是用于处理我们的bi<0的情况,它的做法是引入一个辅助的线性规划:

这样经过一次转轴操作以后,第l个约束变为:

其余的变为:

易知此时对于新的bi满足都不小于0
对偶问题
定义:

用矩阵表示更形象,而且也更利于我们后期的计算与理解:

因此我们在面对这类问题时可以考虑它们之间的相互转化。这里不加证明给出一下定理:
互为对偶问题的两组最优解相等
后续更新Simplex算法的python实现……
原文:http://www.cnblogs.com/ScratchingBear/p/5634692.html