[首页]
[文章]
[教程]
首页
Web开发
Windows开发
编程语言
数据库技术
移动平台
系统服务
微信
设计
布布扣
其他
数据分析
首页
>
其他
> 详细
[线代笔记]第一章 线性方程组解法
时间:
2016-07-31 10:12:06
阅读:
278
评论:
0
收藏:
0
[点我收藏+]
第一章 线性方程组解法
代数学起源于解方程(代数方程)
一元一次、一元二次、一元三次、一元四次都有求根公式(通过系数进行有限次加、减、乘、除、乘方、开方得到解),一元五次以上方程就不再有求根公式了(近世代数)
二元一次方程组、三元一次方程组、……、n元一次方程组(线性代数研究对象)
高等代数——线性代数+多项式理论
1. 线性方程组的同解变形、线性组合、初等变换、消去法
例1
同解变形
:用3种同解变形必可化方程组为
阶梯型
交换两个方程位置
用非0的数c乘某个方程两边
用某个方程的k倍加到另一个方程
线性组合
:设
是一些方程,称
为
的一个线性组合。(由
组成的方程组与
同解)
例2
由于
,故第
个方程是多余的。
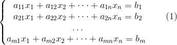
一般,
m个方程n个未知数的线性方程组,系数
是第
个方程第
个未知数的系数。
(数域),此时解也在
中。
数域
:复数的子集
对加、减、乘、除(分母不为0)封闭,称
为数域。如
,
,
。
2. 矩阵的有关概念
上述方程组完全由表
决定,
由
行
列的数(
)组成的表,用圆括号(或方括号)限定,称为数域
上一个
矩阵。
矩阵中各行称为
向量
(
行向量
),如
是一个向量,可看作一行的矩阵。同样的,各列称为
列向量
。
0向量
:
。
矩阵的初等变换
:
必可由初等变换化为阶梯形矩阵,称为方程组的
矩阵消元法
交换两行
乘某行
某行k倍加到另一行
3. 解线性方程组的矩阵消元法
考虑方程组
称
为
的
系数矩阵
,
为
的
增广矩阵
。
方程组
与它的增广矩阵
互相唯一决定。
对
进行初等变换化为阶梯形,再解相应的阶梯形方程组。
例
解:
可见阶梯形可以不规则
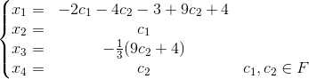
改写为
令
自由取值为
,得解
其中,
称为
自由未知量
,的原方程的无穷多组解。
命题
:设方程组的增广矩阵
化为阶梯形后,含
个非0行,且最后一个非0行
,则方程组有
个自由未知量,从而有无穷组解。(
称为矩阵
的
秩
:化为阶梯形后的非0行数)
定理1
:用初等行变换把增广矩阵
化为阶梯形后,记
为系数矩阵
的秩,
为增广矩阵的秩(有
),则
A.
时方程组无解
此时最后一行
无解,表现为
的阶梯形中最后一行为
方程组有解
B.
时方程组有解
a.
(未知数个数),有无穷组解,此时有
个自由未知量
b.
时有唯一一组解
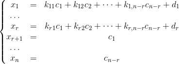
通解
:设方程组有无穷组解
,则有
个自由未知量
,令
得
其中
称为方程组的
通解
。
通解也可写成向量式
特解
:通解中的某个具体的解。
解集合
:
4. 齐次线性方程组(右边常数项全为0)
这里只考虑一次齐次方程组
系数矩阵
的秩
时必有非0解,
时只有0解
若齐次线性方程组的方程个数
(未知数个数),必有非0解。(此时
的必有非0解)
?
[线代笔记]第一章 线性方程组解法
原文:http://www.cnblogs.com/CQBZOIer-zyy/p/5722418.html
踩
(
0
)
赞
(
0
)
举报
评论
一句话评论(
0
)
登录后才能评论!
分享档案
更多>
2021年09月23日 (328)
2021年09月24日 (313)
2021年09月17日 (191)
2021年09月15日 (369)
2021年09月16日 (411)
2021年09月13日 (439)
2021年09月11日 (398)
2021年09月12日 (393)
2021年09月10日 (160)
2021年09月08日 (222)
最新文章
更多>
2021/09/28 scripts
2022-05-27
vue自定义全局指令v-emoji限制input输入表情和特殊字符
2022-05-27
9.26学习总结
2022-05-27
vim操作
2022-05-27
深入理解计算机基础 第三章
2022-05-27
C++ string 作为形参与引用传递(转)
2022-05-27
python 加解密
2022-05-27
JavaScript-对象数组里根据id获取name,对象可能有children属性
2022-05-27
SQL语句——保持现有内容在后面增加内容
2022-05-27
virsh命令文档
2022-05-27
教程昨日排行
更多>
1.
list.reverse()
2.
Django Admin 管理工具
3.
AppML 案例模型
4.
HTML 标签列表(功能排序)
5.
HTML 颜色名
6.
HTML 语言代码
7.
jQuery 事件
8.
jEasyUI 创建分割按钮
9.
jEasyUI 创建复杂布局
10.
jEasyUI 创建简单窗口
友情链接
汇智网
PHP教程
插件网
关于我们
-
联系我们
-
留言反馈
- 联系我们:wmxa8@hotmail.com
© 2014
bubuko.com
版权所有
打开技术之扣,分享程序人生!