没事玩了一下matlab
发现现在网上的代码都是一组数据预测
所以我就写个批量数据的预测
顺便学习下matlab
----------------------------------我是快乐的分割线------------------------------------
灰色预测的主要思想是:
1、给定一组数据
2、进行累加,即
X(1)1=x(0)1
X(1)2=x(0)1+x(0)2
X(1)3=x(0)1+x(0)2+x(0)3
…
3、最终目的是为了构造预测方程:

其中:

而为了求得上式,需要:


好的,就是这样子灰色预测就写完了,下面就是各种循环各种写了
----------------------------------我是快乐的分割线------------------------------------
为了批量对多组数据进行预测
所以加入了一个打开excel:
%读取excel的数据,data = xlsread(filename, sheet, range) data=xlsread(‘D:\MATLAB\GM.xlsx‘, 1, ‘A1:E2‘);
然后写个大大的for循环:
m=ndims(data);%维度 for i = 1:m ... end
省略号里面就是一组数据的预测程序了
灰色预测的思想很简单
我就不分段解释了
全部代码如下
function GM(t)
clc; %清屏,以使计算结果独立显示
format long g; %设置计算精度
%读取excel的数据,data = xlsread(filename, sheet, range)
data=xlsread(‘D:\MATLAB\GM.xlsx‘, 1, ‘A1:E2‘);
%fprintf(data(1,:));
%x=data(1,:)
%n=length(data)%长度
%加了;分号表示不将结果显示出来
m=ndims(data);%维度
t=input(‘你要预测多少期?‘);
for i = 1:m
z=0;
x=data(i,:);
%下面的全部内容都在这个循环里面进行
%注意下面的那个end
%每一行的长度
n=length(data);
for j = 1:n
z = z + x(j);
be(j,:)=z;
end
%matlab的变量定义好乱,可以随便定义,都是局部变量
%本文这里除了i之外其他都算局部变量吧
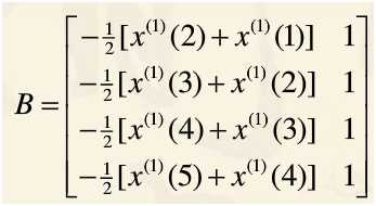
%计算数据矩阵B的第一列和第二列数据
for j = 1:n-1
%第一列
c(j,:)=-0.5*(be(j,:)+be(j+1,:));
%第二列
e(j,:)=1;
%代入矩阵B中
B(j,1)=c(j,:);
B(j,2)=e(j,:);
end
%对原始数列平行移位
for j=2:n
y(j-1,:)=x(1,j);
end
%计算参数α、μ矩阵
alpha=inv(B.‘*B)*B.‘*y;
%计算数据估计值的累加数列
for k = 0:n-1+t
ago(k+1,:)=(be(1)-alpha(2,:)/alpha(1,:))*exp(-alpha(1,:)*(k))+alpha(2,:)/alpha(1,:);
end
%估计值的累加数列的还原,并计算出下一预测值
for j=1:n-1+t
var(j+1,:)=ago(j+1,:)-ago(j,:);
end
%给出预测结果
result(i,:)=var(n+t,1);
%计算残差
for j=2:n
error(j,:)=var(j,:)-x(1,j);
end
%调用统计工具箱的标准差函数计算后验差的比值c
S1=std(x)
S2=std(error)
c=S2/S1
end
disp(‘预测结果为:‘)
disp(result(:,1))
花了一个下午复习了一下matlab
发现编写m文件不是很难
但是matlab的语言逻辑有点乱
要不是我的逻辑有点乱
---------------------------------------orz-----------------------------------
原文:http://www.cnblogs.com/TTyb/p/5773836.html