基本概念
数据矩阵

表示 n个对象 × p个属性
相异性矩阵

表示n个对象两两之间的临近度 n×n的矩阵
d(i,j)表示对象i与对象j之间的相异性
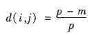
1 标称属性的临近性度量

计算公式:

m: 匹配的数目(即i和j取值相同状态的属性数)
p: 刻画对象的属性总数
令p=1 (主要目的是使相异矩阵的值在[0,1]之间),相同时为1,不同时为0
相异矩阵为:

相似性:

2 二元属性的临近性度量
(1)对称的二元相异性

其中q,r,s,t的含义见表2.3

(2)非对称的二元相异性

可以看出非对称的二元相异性是忽略t的,即忽略属性均为0的
例:

y(yes) p(positive) 值为1,n(no, negative) 值为0
其中name是对象标示符,gender是对称属性,其余均为非对称属性
对于非对称属性进行计算:
d(Jack,Jim)=(1+1)/(1+1+1)=0.67
d(Jack,Mary)=(0+1)/(2+0+1)=0.33
d(Jim,Mary)=(1+2)/(1+1+2)=0.75
3 数值属性的相异性
介绍几个基本概念
一般计算距离之前数据应该规范化
欧几里得距离

加权的欧几里得距离

曼哈顿(城市块)距离

闵可夫斯基距离

其中h是实数 h≥1
上确界距离

(1)序数属性的临近性度量
计算步骤:
第一步:把test-2的每个值替换为它的排位,则四个对象将分别被赋值为3,1,2,3
第二步:按照公式
Mf表示总的排位,rif表示第i个对象的排位 (此公式的目的是将每个属性的值域映射到[0.0,1.0])
所以排位1的值为0,排位2的值为0.5,排位3的值为1
第三步:可以使用比如欧几里得距离算出相异性矩阵

(2)数值属性的临近性度量

对test-3计算
maxhxh=64,minhxh=22

4 混合类型属性的相异性
把所有有意义的属性转换到共同的区间[0.0,1.0]上



结果

5 余弦相似性
对于稀疏矩阵,例比较文档或针对给定的查询词向量对文档排序

例:


原文:http://www.cnblogs.com/qicaide/p/5913845.html