<1> 1、仔细阅读示例: EnumTest.java,运行它,分析运行结果?
程序:

结果:

分析:由于s和t不是引用的同一对象,所以第一个输出为false;s.getClass().isPrimitive()用来判断s是否为基本数据类型,因为s为枚举型,所以第二个输出为false;将“SMALL”(字符串)转化为枚举型,与s一样,所以第三个输出为true;最后。对该枚举型进行遍历并输出。
2、你能得到什么结论?你掌握了枚举类型的基本用法了吗?
结论:枚举类型是引用类型,不属于原始数据类型;它的每个具体值都引用一个特定的对象,相同的值则引用同一个对象。相同的值则引用同一个对象;枚举类型可以用字符串类型到枚举类型的转换。
用法:定义常量(如例子中显示的);枚举可用于switch语句中。
<2> 阅读相应教材,或者使用互联网搜索引擎,弄清楚反码、补码跟原码这几个概念,然后编写示例程序,对正数、负数进行各种位 操作,观察输出结果,与手工计算的结果进行比对,看看Java中的数是采用上述哪种码表示的。
原码:就是二进制定点表示法,即最高位为符号位,“0”表示正,“1”表示负,其余位表示数值的大小。如正2,八位二进制表示为000 0010,-2的2进制表示为10000010。前面的一位表示符号位,其中,正数为0,负数为1.
反码:正数的反码与其原码相同;负数的反码是对其原码逐位取反,但符号位除外。
补码:正数的补码与其原码相同;负数的补码是在其反码的末位加1。
示例程序:


<3> Java变量遵循“同名变量的屏蔽原则”,请课后阅读相关资料弄清楚相关知识,然后自己编写一些测试代码,就象本示例一样,有意识地在不同地方定义一些同名变量,看看输出的到底是哪个值。
同名变量的屏蔽原则:在java中,局部定义的变量能够覆盖全局范围内的变量。在局部使用某个变量的时候会优先找和当前使用位置"近"的变量的的定义!如果在局部定义了和全局变量一样的名字,我们使用的过程中,调用全局变量的话,会使用this关键字辅助,但是this变量不能在静态函数类型中使用。
程序:
public class Text {
private static int value = 1;
public static void main(String[] args) {
int value = 2;
System.out.println(value);
}
}
结果:

程序:
public class Text {
private static int value = 1;
public static void main(String[] args) {
System.out.println(value);
}
}
结果:
程序:
public class Text {
public static void main(String[] args) {
int value = 1;
System.out.println(value);
}
}
结果:
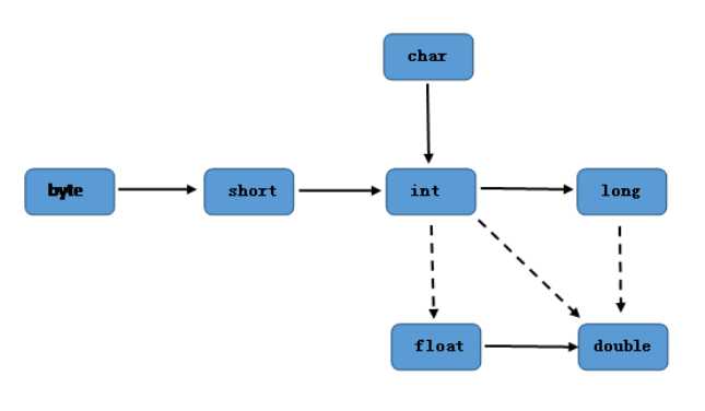
<4>看着这个图,再查查Java中每个数据类型所占的位数,和表示数值的范围,你能得出什么结论?

数据类型 位数 表示数值的范围
Int 32位 -2的31次方 ~ 2的31次方
Short 16位 -32768 ~ 32678
long 64位 -2的63次方~2的63次方
float 32位 10^-38~10^38和-10^-38~-10^38
double 64位 10^-308~10^308和-10^-308~-10^308
char 16位 -2的7次方~2的7次方
boolean 1位 true/false
byte 8位 -128 ~ 127
结论:实线代表无精度损失,虚线代表有精度损失,低精度向高精度转化不丢失精度,反之,从高精度传向低精度则会损失。
<5>为什么double类型的数值进行运算得不到“数学上精确”的结果?


原因:该结果与浮点数在计算机内部的表示方法有关系,这种方法问题在于如何在二进制中保存小数点的问题,即利用科学计数法,这样小数点的位置则位于第一个数字之后。由于计算机只能处理0和1,所以在计算机里面表示浮点数的时候,科学计数法中的基数是2,而不是10。在计算机内存当中,保存的实际是浮点数的计算公式,而不是确切的值,所以说计算机里面浮点数都是近似值,而不是确切的值。计算机得出的的数值,在大多数情况下需要比64bit更多的位数才能准确表示出来(甚至是需要无穷多位),而double类型的数值只有64bit,后面舍去的位数一定会带来误差,无法得到“数学上精确”的结果。
<6>以下代码的输出结果是什么?
public class Text{
public stastic void main(String args[]){
int X=100;
int Y=200;
System.out.println("X+Y="+X+Y);
System.out.println(X+Y+"=X+Y");
}
}
运行结果:
X+Y=100200
300=X+Y
原因:因为输出的是字符串,前一个表示分别输出两个字符串,而后一个表示用字符串输出两个整形的和。
原文:http://www.cnblogs.com/ttzz/p/5933160.html