首页 > 其他 > 详细

Batch Gradient Descendent (BGD) & Stochastic Gradient Descendent (SGD)

时间:2016-10-19 07:37:22      阅读:557      评论:0      收藏:0      [点我收藏+]

SGD, BGD初步描述
					(原文来自:http://blog.csdn.net/lilyth_lilyth/article/details/8973972@熊均达@SJTU 做出解释及说明
								

 

梯度下降(GD)是最小化风险函数、损失函数(注意Risk FunctionCost Function在本文中其实指的一个意思,在不同应用领域里面可能叫法会有所不同。解释:@熊均达@SJTU)的一种常用方法,随机梯度下降和批量梯度下降是两种迭代求解思路,下面从公式和实现的角度对两者进行分析,如有哪个方面写的不对,希望网友纠正。
							

 

下面的h(x)是要拟合的函数,J(θ)损失函数,θ是参数,要迭代求解的值,theta求解出来了那最终要拟合的函数h(θ)就出来了。其中m是训练集的记录条数,j是参数的个数。

技术分享

技术分享

 

1、批量梯度下降(BGD)的求解思路如下:

1)将J(θ)θ求偏导,得到每个θ对应的的梯度

   技术分享

2)由于是要最小化风险函数(注意这里用了风险函数,其实就是损失函数。解释:@熊均达@SJTU),所以按每个参数θ的梯度负方向,来更新每个θ

技术分享

3)从上面公式可以注意到,它得到的是一个全局最优解,但是每迭代一步,都要用到训练集所有的数据,如果m很大,那么可想而知这种方法的迭代速度!!所以,这就引入了另外一种方法,随机梯度下降。

 

2、随机梯度下降(SGD)的求解思路如下:

1)上面的风险函数可以写成如下这种形式,损失函数对应的是训练集中每个样本的粒度(粒度相当于在每个样本点上的损失,因为SGD实际上对相应的Cost Function的偏导做了改动。解释:@熊均达@SJTU,而上面批量梯度下降对应的是所有的训练样本:

技术分享

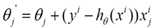
2)每个样本的损失函数,对θ求偏导得到对应梯度,来更新θ

技术分享

3)随机梯度下降是通过每个样本来迭代更新一次,如果样本量很大的情况(例如几十万),那么可能只用其中几万条或者几千条的样本,就已经将θ迭代到最优解了,对比上面的批量梯度下降,迭代一次需要用到十几万训练样本,一次迭代不可能最优,如果迭代10次的话就需要遍历训练样本10次。但是,SGD伴随的一个问题是噪音较BGD要多,使得SGD并不是每次迭代都向着整体最优化方向。

@熊均达@SJTU附注1:在BGD中,你需要把所有的样本都考虑,求所有样本处的误差的平方和。而对于SGD,技术分享遍历到哪里就是哪里。

@熊均达@SJTU附注2:我现在倾向于在SGD不考虑什么是cost function,只考虑对θ的更新方法做改动。cost function应该在BGD中才存在,因为这个定义是严谨的,所谓cost function就是在所有样本点处的误差的平方和。

 

SGD BGD的深入比较描述(By: @熊均达@SJTU

随机梯度下降和批量梯度下降不同点在于,批量梯度下降每一步更新θ值,都需要遍历全部的训练样本,而随机梯度下降在遇到每个训练样本时,更新θ之后继续处理下一个样本,每个样本只遍历一次,算法的学习时间比批量梯度下降快很多。但是,随机梯度下降可能永远不会收敛到全局最优值,而是在成本函数J(θ)最优值周围附近摇摆。但是在实际问题中,接近最优值的参数值可能已经是足够好的结果了,特别是对于数据量非常大的训练集来说,随机梯度下降是比批量梯度下降更好的选择。

在实际使用梯度下降算法时,将输入变量归一到同一取值范围,能够减少算法的迭代次数。这是因为在小的取值范围内会下降很快,但在大的取值范围内会下降较慢。并且当输入变量取值范围不够均衡时,更容易在最优值周围波动。采用特征缩放(feature scaling)和均值归一化(mean normalization)可以避免这些问题。选择学习率的值,要观察J(θ)值在每次迭代后的变化。已经证明了如果的取值足够小,则J(θ)每次迭代后的值都会减少。如果J(θ)在某次迭代后反而增加了,说明学习率的值应该减小,因为错过了最优值。Andrew Ng推荐的一个经验是每次将减少3倍。

 

批量梯度下降和随机梯度下降对比:

批量梯度下降

随机梯度下降

批量更新算法

在线算法

经验风险

泛化风险

可能陷入局部最优(初值选择敏感)

可能找到全局最优

对步长不敏感

对步长敏感

迭代次数少

迭代次数多

计算量大

计算量不大

 

对于线性回归问题,批量梯度下降和随机梯度下降是如何找到最优解的?

 

全局最优问题和局部最优问题:

最优化问题对的分布是unimodal,即从图形上面看只有一个peak,所以梯度下降最终求得的是全局最优解。然而对于multimodal的问题,因为存在多个peak值,很有可能梯度下降的最终结果是局部最优。对于多个peak的问题,由于随机梯度下降每次更新方向的不确定性,所以SGD有可能使得从局部最优中跳出来而找到全局最优,相反的,这也可能使得SGD从全局最优跳到局部最优,但是对于一般的工程性凸问题,随机梯度下降都呈现了较好的运算复杂度(大概为)和收敛性。

 

最后附上带有大量干货的斯坦福CS229课程主页网址:http://cs229.stanford.edu/materials.html

有兴趣的同学可以自行查阅,其实网上大部分的资料都是根据这些资料翻译的,但是这些更权威。

 

 

参考资料:

  1. https://hal.archives-ouvertes.fr/file/index/docid/359142/filename/ASCONVEXSET.BASIC.IJPAM.1.pdf
  2. http://blog.csdn.net/lilyth_lilyth/article/details/8973972

 

Batch Gradient Descendent (BGD) & Stochastic Gradient Descendent (SGD)

原文:http://www.cnblogs.com/kaixiao/p/5975785.html

(0)
(0)
   
举报
评论 一句话评论(0
关于我们 - 联系我们 - 留言反馈 - 联系我们:wmxa8@hotmail.com
© 2014 bubuko.com 版权所有
打开技术之扣,分享程序人生!