这题似乎是一道原创题目(不是博主原创),所以并不能在任何OJ上评测,博主在网盘上上传了数据(网盘地址:http://pan.baidu.com/s/1mibdMXi),诸位看官需者自取。另外博主使用此题并没有获得出题人授权,如果出题人看到这篇blog并认为在下侵犯了您的权利,请用站内消息与在下联系,在下会立即删除这篇blog,给您带来的困扰之处敬请谅解。
博主上传这道题主要是因为这题牵扯许多数学运算,推导过程比较复杂,但是却没有用到任何算法或者数学定理,可以说这是一道想法题的典范。本篇blog中介绍的方法为博主原创,转载请标明出处。
lahub是一个旅行者的粉丝,他想成为一个真正的旅行者,所以他计划开始一段旅行。lahub想去参观n个目的地(都在一条直道上)。lahub在起点开始他的旅行。第i个目的地和起点的距离为ai千米(ai为非负整数)。不存在两个目的地和起点的距离相同。
从第i个目的地走到第j个目的地所走的路程为 |ai-aj|千米。我们把参观n个目的地的顺序称作一次“旅行”。lahub可以参观他想要参观的任意顺序,但是每个目的地有且只能被参观一次(参观顺序为n的排列)。
lahub把所有可能的“旅行”都写在一张纸上,并且记下每个“旅行”所要走的路程。他对所有“旅行”的路程之和的平均值感兴趣。但是他觉得计算太枯燥了,所以就向你寻求帮助。
第一行一个正整数n。
第二行n个非负整数a1,a2,....,an(1≤ai≤10^7)。
两个整数,答案用最简分数形式输出,第一个为分子,第二个为分母。
3
2 3 5
22 3
样例有6种可能的旅行:
[2, 3, 5]: |2 – 0| + |3 – 2| + |5 – 3| = 5;
[2, 5, 3]: |2 – 0| + |5 – 2| + |3 – 5| = 7;
[3, 2, 5]: |3 – 0| + |2 – 3| + |5 – 2| = 7;
[3, 5, 2]: |3 – 0| + |5 – 3| + |2 – 5| = 8;
[5, 2, 3]: |5 – 0| + |2 – 5| + |3 – 2| = 9;
[5, 3, 2]: |5 – 0| + |3 – 5| + |2 – 3| = 8.
答案为 1/6 * (5+7+7+8+9+8)=44/6=22/3
30% n<=10
50% n<=1000
100% n<=100000
首先,我们不妨抛开题目背景,将题目大致翻译成一个数学题:
给出一个正整数n,并给出a1、a2……an共n个互不相同的正整数。对于序列an的每一种排列ax1、ax2……axn,令Sx=|ax1-0|+|ax2-ax1|+……+|axn-axn-1|,求S的平均数。
由于题目明确说明,当i≠j时,不存在ai=aj的情况。那么,排列的总情况数就为n的全排列即n!种。
为了便于讲解,我们规定序列an严格升序(代码实现时只需要做一次sort处理)
通过对S的定义我们不难发现,若不考虑ai作为axn的情况,对于每个i,在每个求S的算式中,ai都会作为被减数和减数各出现一次。此外,由于当i=xn时,ai在算式中不作为减数出现,并且对于每个i,i=xn的情况各有(n-1)!种,所以对于每个i,ai总共作为被减数出现n!次,作为减数出现[n!-(n-1)!]次。
我们先讨论ai作为被减数出现的情况:
当ai作为被减数时,0和其余n-1个数都可以作为ai的减数,且他们成为ai的减数的机会是均等的(ai雨露均沾??)所以含0在内的n个数各会作为ai的减数(n-1)!次。设aj为ai的减数,那么当且仅当j<i时,|ai-aj|去绝对值符号后会得到ai-aj;反之,当且仅当j>i时,|ai-aj|去绝对值符号后会得到aj-ai。由于当i合法时,0总比ai小,所以我们可以得到有i个数使ai去绝对值符号之后带正号,n-i个数使ai去绝对值符号后带负号。
以上,我们整理后得到:ai作为被减数时对ΣS的影响为:

同理,我们讨论ai作为减数出现的情况:
当ai作为减数时,其余n-1个数都可以作为ai的被减数,且他们成为ai的被减数的机会是均等的(ai雨露均沾+1)所以其余n-1个数各会作为ai的减数(n-1)!次(想一想,为什么)。设aj为ai的被减数,那么同上,当且仅当j<i时,|aj-ai|去绝对值符号后会得到ai-aj;反之,当且仅当j>i时,|aj-ai|去绝对值符号后会得到aj-ai。所以我们可以得到有i-1个数使ai去绝对值符号之后带正号,n-i个数使ai去绝对值符号后带负号。
以上,我们整理后得到:ai作为减数时对ΣS的影响为:

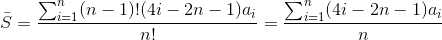
综合以上两种情况,我们得到:ai对ΣS的影响为:

最后,我们只需要将每个ai对ΣS的影响结合起来,便得到了答案:

注意:1、记得将答案化简为最简分数后输出(分子、分母各除以其最大公约数);
2、不开long long见祖宗,十年OI一场空。
1 #include<stdio.h> 2 #include<algorithm> 3 using namespace std; 4 const int MAXN=100010; 5 long long a[MAXN]; 6 long long gcd(long long x,int n) 7 { 8 long long xx=x,yy=n; 9 while(yy) 10 { 11 long long t=xx%yy; 12 xx=yy; 13 yy=t; 14 } 15 return xx; 16 } 17 int main() 18 { 19 freopen("tourist.in","r",stdin); 20 freopen("tourist.out","w",stdout); 21 int n; 22 long long x=0; 23 scanf("%d",&n); 24 int i; 25 for(i=1;i<=n;++i) 26 scanf("%d",&a[i]); 27 sort(a+1,a+1+n); 28 for(i=1;i<=n;++i) 29 x=x+a[i]*(4*i-2*n-1); 30 long long g=gcd(x,n); 31 printf("%lld ",x/g); 32 printf("%d\n",n/g); 33 fclose(stdin); 34 fclose(stdout); 35 return 0; 36 }
弱弱地说一句,本蒟蒻码字也不容易,转载请注明出处http://www.cnblogs.com/Maki-Nishikino/p/5994679.html
原文:http://www.cnblogs.com/Maki-Nishikino/p/5994679.html