
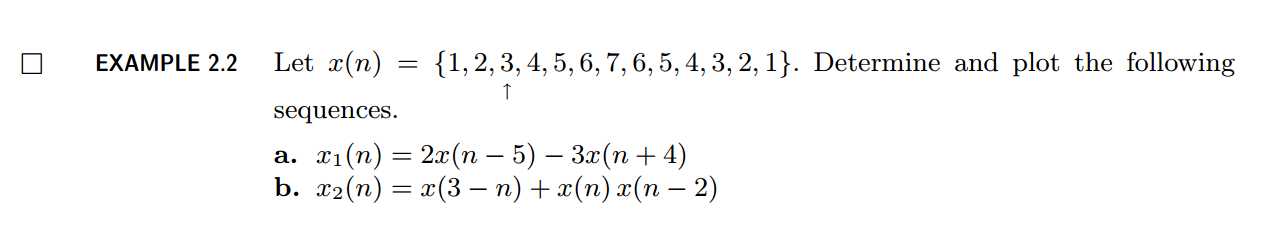
a、
n = -2:10; x = [1:7,6:-1:1]; % generate x(n) [x11,n11] = sigshift(x,n,5); [x12,n12] = sigshift(x,n,-4); [x1,n1] = sigadd(2 * x11, n11, -3 * x12, n12); set(gcf,‘Color‘,[1,1,1]) % 改变坐标外围背景颜色 stem(n,x); title(‘Sequence x(n)‘) xlabel(‘n‘);ylabel(‘x(n)‘); grid on figure % 新生成一张图 set(gcf,‘Color‘,[1,1,1]) % 改变坐标外围背景颜色 stem(n1,x1); title(‘Sequence in Example 2.2a‘) xlabel(‘n‘); ylabel(‘x1(n)‘); grid on


b、
n = -2:10; x = [1:7,6:-1:1]; % generate x(n) [x21,n21] = sigfold(x,n); [x21,n21] = sigshift(x21,n21,3); [x22,n22] = sigshift(x,n,2); [x22,n22] = sigmult(x,n,x22,n22); [x2,n2] = sigadd(x21, n21, x22, n22); % subplot(2,1,1); set(gcf,‘Color‘,[1,1,1]) % 改变坐标外围背景颜色 stem(n,x); title(‘Sequence x(n)‘) xlabel(‘n‘);ylabel(‘x(n)‘); grid on; figure set(gcf,‘Color‘,‘white‘) % 新生成一张图 stem(n2,x2); title(‘Sequence in Example 2.2b‘) xlabel(‘n‘); ylabel(‘x2(n)‘);grid on;

不足之处,欢迎批评指正。
原文:http://www.cnblogs.com/ky027wh-sx/p/6006379.html