Conditional Generative Adversarial Nets
arXiv 2014
本文是 GANs 的拓展,在产生 和 判别时,考虑到额外的条件 y,以进行更加“激烈”的对抗,从而达到更好的结果。
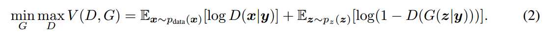
众所周知,GANs 是一个 minmax 的过程:

而本文通过引入 条件 y,从而将优化的目标函数变成了:

下图给出了条件产生式对抗网络的结构示意图:

是的,整个过程就是看起来的这么简单,粗暴,有效。
实验部分,作者在 Mnist 数据集上进行了实验:

然后是,给图像贴标签:

总结:
论文笔记之:Conditional Generative Adversarial Nets
原文:http://www.cnblogs.com/wangxiaocvpr/p/6014543.html