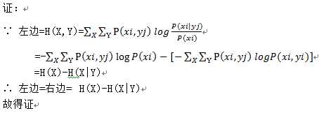
3、证明:I(X;Y)=H(X)-H(X|Y)。

9、没有冗余度的信源还能不能压缩?为什么?
答:能。因为没有冗余信息源,不能进行无损压缩,能进行有损压缩。
12、等概率分布的信源还能不能压缩?为什么?你能举例说明吗?
答:能。等概率分布并不是不相关的,还是可以压缩的。例如对方波信号或锯齿波信号的均匀取样值。
15、有人认为:“图像的负片(黑白颠倒)比正片更容易压缩”。你同意他的观点吗?为什么?
答:不同意。图像的正负片的熵是相同的,即该图像的冗余度是相同的,所以压缩的容易程度是一样的。
16、有人认为:“相关的信源是非等概率分布的”。你同意他的观点吗?为什么?
答:同意。因为只要信源不是等概率分布,就存在着数据压缩的可能性。相关信源存在冗余度,能够进行有损和无损压缩,故相关信源是非等概率分布的。
原文:http://www.cnblogs.com/all96/p/6090444.html