二项式系数,也是我们常用的组合数,最直观的组合意义就是从n个元素取k个元素所有可能的情况数,因此我们自然的得到下面二项式系数的定义式。
那么我们通过具有组合意义的二项系数,给出更加一般的二项式系数的定义:




通过上文给出推广形式的二项式系数,容易推得恒等式3.
但是我们注意到,在第二个恒等式的推导中,我们运用了对称恒等式.
而对称恒等式的使用要求上指标非负,这是否意味着对于第二个恒等式我们需要限制r的范围?
答案是否定的?该恒等式依然对实数r成立.
因为首先这个恒等式(下指标不变的相伴恒等式)必然是对非负整数r成立的,我们能够找到大于k+1组不同的点,使得左右两式的差为0.而我们从多项式的角度看左右两式的差值,他们其实是r的k+1次多项式.由多项式的理论:一个非零的d次多项式至多有d个不同的零点,否则,只能说明这个多项式恒为0.因此我们看到,这个恒等式左右两侧是关于r相同的多项式,因此该恒等式对于实数r成立.
这种证明方法称为多项式推理法,它在将二项式系数恒等式由整数推广到实数中很有用处.



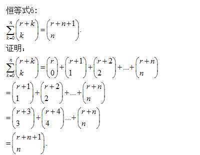
有了加法恒等式(帕斯卡公式),我们很容易将下面的一个和式进行化简,它使得我们求解一个有规律的二项式系数的和式时,仅仅计算一个二项式系数即可,从算法时间复杂度的角度来讲,是O(n)到O(1)的优化。


关于上指标求和,这里有组合解释:我们在标号为0~n的n+1张票中选出m+1张票,这m+1张票中,序号最大为k的取法有C(k , m).其中k是二项式系数的上指标。


上指标求和的内涵在于向上扩充了帕斯卡三角形,在二项式系数的上指标小于下指标的时候,通常利用该恒等式进行等值的转换。
下面给出一系列二项式系数的乘积之和恒等式。

这些恒等式都是通过上文介绍的范德蒙卷积恒等式以及其他的恒等式推得而来,对于他们的推导,我们后续会慢慢地展开,这里暂且先将其简单罗列,在后面的化简实例中,可以拿过来直接应用.
-----------------------------------------分割线---------------------------------------------------------------------------------------------------------------
通过对上面一系列基本二项式系数恒等式的学习,下面我们就去在实战中去应用它们.
实例1:比值的和式:
我们需要对化简后的式子进行简单检验,这是做化简运算的基本素养和习惯.取n = 4 , m , 2.
通过原式给出的和式,结果为5/3.利用化简后的结果,也是5/3.
实例2:


从上面的过程中我们发现一个非常聪明的做法,如何利用我们之前讨论过的二项式系数恒等式解决具体的问题?——给予恒等式(尤其是和式中非指示常量)中参数具体的值。
例如我们利用刚刚用到的恒等式,再给予一组赋值:

《Concrete Mathematics》-chaper5-二项式系数
原文:http://www.cnblogs.com/rhythmic/p/6124329.html