首页 > 其他 > 详细

[转]独立成分分析(Independent Component Analysis)

时间:2016-12-06 13:30:57      阅读:170      评论:0      收藏:0      [点我收藏+]

原文地址:http://www.cnblogs.com/jerrylead/archive/2011/04/19/2021071.html

独立成分分析(Independent Component Analysis)

1. 问题:

     1、上节提到的PCA是一种数据降维的方法,但是只对符合高斯分布的样本点比较有效,那么对于其他分布的样本,有没有主元分解的方法呢?

     2、经典的鸡尾酒宴会问题(cocktail party problem)。假设在party中有n个人,他们可以同时说话,我们也在房间中一些角落里共放置了n个声音接收器(Microphone)用来记录声音。宴会过后,我们从n个麦克风中得到了一组数据技术分享,i表示采样的时间顺序,也就是说共得到了m组采样,每一组采样都是n维的。我们的目标是单单从这m组采样数据中分辨出每个人说话的信号。

     将第二个问题细化一下,有n个信号源技术分享技术分享,每一维都是一个人的声音信号,每个人发出的声音信号独立。A是一个未知的混合矩阵(mixing matrix),用来组合叠加信号s,那么

     技术分享

     x的意义在上文解释过,这里的x不是一个向量,是一个矩阵。其中每个列向量是技术分享技术分享

     表示成图就是

     技术分享

     这张图来自

     http://amouraux.webnode.com/research-interests/research-interests-erp-analysis/blind-source-separation-bss-of-erps-using-independent-component-analysis-ica/

     技术分享

     技术分享的每个分量都由技术分享的分量线性表示。A和s都是未知的,x是已知的,我们要想办法根据x来推出s。这个过程也称作为盲信号分离。

     令技术分享,那么技术分享

     将W表示成

     技术分享

     其中技术分享,其实就是将技术分享写成行向量形式。那么得到:

     技术分享

2. ICA的不确定性(ICA ambiguities)

     由于w和s都不确定,那么在没有先验知识的情况下,无法同时确定这两个相关参数。比如上面的公式s=wx。当w扩大两倍时,s只需要同时扩大两倍即可,等式仍然满足,因此无法得到唯一的s。同时如果将人的编号打乱,变成另外一个顺序,如上图的蓝色节点的编号变为3,2,1,那么只需要调换A的列向量顺序即可,因此也无法单独确定s。这两种情况称为原信号不确定。

     还有一种ICA不适用的情况,那就是信号不能是高斯分布的。假设只有两个人发出的声音信号符合多值正态分布,技术分享,I是2*2的单位矩阵,s的概率密度函数就不用说了吧,以均值0为中心,投影面是椭圆的山峰状(参见多值高斯分布)。因为技术分享,因此,x也是高斯分布的,均值为0,协方差为技术分享

     令R是正交阵技术分享技术分享。如果将A替换成A’。那么技术分享。s分布没变,因此x’仍然是均值为0,协方差技术分享

     因此,不管混合矩阵是A还是A’,x的分布情况是一样的,那么就无法确定混合矩阵,也就无法确定原信号。

3. 密度函数和线性变换

     在讨论ICA具体算法之前,我们先来回顾一下概率和线性代数里的知识。

     假设我们的随机变量s有概率密度函数技术分享(连续值是概率密度函数,离散值是概率)。为了简单,我们再假设s是实数,还有一个随机变量x=As,A和x都是实数。令技术分享是x的概率密度,那么怎么求技术分享

     令技术分享,首先将式子变换成技术分享,然后得到技术分享,求解完毕。可惜这种方法是错误的。比如s符合均匀分布的话(技术分享),那么s的概率密度是技术分享,现在令A=2,即x=2s,也就是说x在[0,2]上均匀分布,可知技术分享。然而,前面的推导会得到技术分享。正确的公式应该是

     技术分享

     推导方法

     技术分享

     技术分享

     更一般地,如果s是向量,A可逆的方阵,那么上式子仍然成立。

4. ICA算法

     ICA算法归功于Bell和Sejnowski,这里使用最大似然估计来解释算法,原始的论文中使用的是一个复杂的方法Infomax principal。

     我们假定每个技术分享有概率密度技术分享,那么给定时刻原信号的联合分布就是

     技术分享

     这个公式代表一个假设前提:每个人发出的声音信号各自独立。有了p(s),我们可以求得p(x)

     技术分享

     左边是每个采样信号x(n维向量)的概率,右边是每个原信号概率的乘积的|W|倍。

     前面提到过,如果没有先验知识,我们无法求得W和s。因此我们需要知道技术分享,我们打算选取一个概率密度函数赋给s,但是我们不能选取高斯分布的密度函数。在概率论里我们知道密度函数p(x)由累计分布函数(cdf)F(x)求导得到。F(x)要满足两个性质是:单调递增和在[0,1]。我们发现sigmoid函数很适合,定义域负无穷到正无穷,值域0到1,缓慢递增。我们假定s的累积分布函数符合sigmoid函数

     技术分享

     求导后

     技术分享

     这就是s的密度函数。这里s是实数。

     如果我们预先知道s的分布函数,那就不用假设了,但是在缺失的情况下,sigmoid函数能够在大多数问题上取得不错的效果。由于上式中技术分享是个对称函数,因此E[s]=0(s的均值为0),那么E[x]=E[As]=0,x的均值也是0。

     知道了技术分享,就剩下W了。给定采样后的训练样本技术分享,样本对数似然估计如下:

     使用前面得到的x的概率密度函数,得

     技术分享

     大括号里面是技术分享

     接下来就是对W求导了,这里牵涉一个问题是对行列式|W|进行求导的方法,属于矩阵微积分。这里先给出结果,在文章最后再给出推导公式。

     技术分享

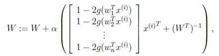
     最终得到的求导后公式如下,技术分享的导数为技术分享(可以自己验证):

     技术分享

     其中技术分享是梯度上升速率,人为指定。

     当迭代求出W后,便可得到技术分享来还原出原始信号。

     注意:我们计算最大似然估计时,假设了技术分享技术分享之间是独立的,然而对于语音信号或者其他具有时间连续依赖特性(比如温度)上,这个假设不能成立。但是在数据足够多时,假设独立对效果影响不大,同时如果事先打乱样例,并运行随机梯度上升算法,那么能够加快收敛速度。

     回顾一下鸡尾酒宴会问题,s是人发出的信号,是连续值,不同时间点的s不同,每个人发出的信号之间独立(技术分享技术分享之间独立)。s的累计概率分布函数是sigmoid函数,但是所有人发出声音信号都符合这个分布。A(W的逆阵)代表了s相对于x的位置变化,x是s和A变化后的结果。

5. 实例

     技术分享

     s=2时的原始信号

     技术分享

     观察到的x信号

     技术分享

     使用ICA还原后的s信号

6. 行列式的梯度

     对行列式求导,设矩阵A是n×n的,我们知道行列式与代数余子式有关,

     技术分享

     技术分享是去掉第i行第j列后的余子式,那么对技术分享求导得

     技术分享

     adj(A)跟我们线性代数中学的技术分享是一个意思,因此

     技术分享

[转]独立成分分析(Independent Component Analysis)

原文:http://www.cnblogs.com/Crysaty/p/6137043.html

(0)
(0)
   
举报
评论 一句话评论(0
关于我们 - 联系我们 - 留言反馈 - 联系我们:wmxa8@hotmail.com
© 2014 bubuko.com 版权所有
打开技术之扣,分享程序人生!