学习笔记(信号与系统)
来源:网络
第一章 信号和系统
信号的概念、描述和分类
信号的基本运算
典型信号
系统的概念和分类
1、常常把来自外界的各种报道统称为消息;
信息是消息中有意义的内容;
信号是反映信息的各种物理量,是系统直接进行加工、变换以实现通信的对象。
信号是信息的表现形式,信息是信号的具体内容;信号是信息的载体,通过信号传递信息。
2、系统(system):是指若干相互关联的事物组合而成具有特定功能的整体。
3、信号的描述——数学描述,波形描述。
信号的分类:
1)确定信号(规则信号)和随机信号
确定信号或规则信号 ——可以用确定时间函数表示的信号;随机信号——若信号不能用确切的函数描述,它在任意时刻的取值都具有不确定性,只可能知道它的统计特性。
2)连续信号和离散信号
连续时间信号——在连续的时间范围内(-∞<t<∞)有定义的信号称为连续时间信号,简称连续信号,实际中也常称为模拟信号;离散时间信号——仅在一些离散的瞬间才有定义的信号称为离散时间信号,简称离散信号,实际中也常称为数字信号。
3)周期信号和非周期信号
周期信号——是指一个每隔一定时间T,按相同规律重复变化的信号;非周期信号——不具有周期性的信号称为非周期信号。
4)能量信号与功率信号
能量信号——信号总能量为有限值而信号平均功率为零;功率信号——平均功率为有限值而信号总能量为无限大。
5)一维信号与多维信号
信号可以表示为一个或多个变量的函数,称为一维或多维函数。
6)因果信号
若当t<0时f(t)=0,当t>0时f(t)≠0的信号,称为因果信号;非因果信号指的是在时间零点之前有非零值。
4、信号的基本运算:
信号的+、-、×运算:两信号f1(·)和f2(·)的相+、-、×指同一时刻两信号之值对应相加减乘。
平移:将f(t)→f(t + t0)称为对信号f(·)的平移或移位,若t0< 0,则将f(·)右移,否则左移。
反转: 将f(t)→f(–t)或f(k)→f(–k)称为对信号f(·)的反转或反折,从图形上看是将f (·)以纵坐标为轴反转180°。
尺度变换(横坐标展缩):将f(t)→f(at),称为对信号f(t)的尺度变换。若a>1,则f(at)将f(t)的波形沿时间轴压缩至原来的1/a;若0<a<1,则f(at)将f(t)的波形沿时间轴扩展为原来的a倍。
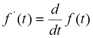
微分:信号f(t)的微分运算指f(t)对t取导数,即:
信号经过微分运算后突出显示了它的变化部分,起到了锐化的作用。
积分:信号f(t)的积分运算指f(t)在(-∞,t)区间内的定积分,表达式为:
信号经过积分运算后,使得信号突出变化部分变得平滑了,起到了模糊的作用,利用积分可以削弱信号中噪声的影响。
5、典型的连续时间信号
1)实指数信号:
(对时间的微、积分仍是指数。)
a>0时,信号将随时间而增长;a<0时,信号将随时间而衰减;a=0时,信号不随时间而变化,为直流信号。
τ是指数信号的时间常数,τ越大,指数信号增长或衰减的速率越慢。
2)正弦信号:
对时间的微、积分仍是同频率正弦。
3)复指数信号:
(
)
实际不存在,但可以用于描述各种信号。
σ>0时,增幅振荡正、余弦信号;σ<0时,衰减振荡正、余弦信号;σ=0时等振幅振荡正、余弦信号;ω=0时,实指数信号;σ=0且ω=0时,直流信号。
4)抽样信号:
Sa(t)具有以下性质:
,
;Sa(0)=1,Sa(t)=0(t=±π,±2π,…)。
5)钟形信号:
6、单位阶跃函数和单位冲激函数
1)单位阶跃函数:
可以方便地表示某些信号,用阶跃函数表示信号的作用区间,积分计算;
单位冲激函数为偶函数:
;
加权特性:
抽样特性:
,
;
尺度变换:
,
,
,
;
导数(冲激偶):
,
冲激偶的抽样特性:
,
,
冲激偶的加权特性:
,
。
2)单位冲激函数:
单位冲激函数是个奇异函数,它是对强度极大,作用时间极短一种物理量的理想化模型。
3)冲激函数与阶跃函数关系:
阶跃函数序列与冲激函数序列。
7、信号的分解
直流分量fD与交流分量fA(t):
,其中fD为直流分量即信号的平均值。
偶分量与奇分量:
,其中fe=
为偶分量,fo=
为奇分量。
脉冲分量
一种分解为矩形窄脉冲分量:
,
另一分解为阶跃信号分量之叠加。
实部分量与虚部分量:
对于瞬时值为复数的信号f(t)可分解为实、虚部两个部分之和。
正交函数分量:
,用正交函数集来表示一个信号,组成信号的各分量就是相互正交的。
8、系统:若干相互作用、相互联系的事物按一定规律组成具有特定功能的整体称为系统。
9、系统的分类及性质
连续系统与离散系统:输入和输出均为连续时间信号的系统称为连续时间系统;输入和输出均为离散时间信号的系统称为离散时间系统。
连续时间系统的数学模型是用微分方程来描述,而离散时间系统的数学模型是用差分方程来描述。
动态系统与即时系统:若系统在任一时刻的响应不仅与该时刻的激励有关,而且与它过去的历史状况有关,则称为动态系统或记忆系统;含有记忆元件(电容、电感等)的系统是动态系统,否则称即时系统或无记忆系统。
线性系统与非线性系统:能同时满足齐次性与叠加性的系统称为线性系统。满足叠加性是线性系统的必要条件;不能同时满足齐次性与叠加性的系统称为非线性系统。
时不变系统与时变系统:满足时不变性质的系统称为时不变系统。
时不变性质:若系统满足输入延迟多少时间,其激励引起的响应也延迟多少时间。
因果系统与非因果系统:激励引起的响应不会出现在激励之前的系统,称为因果系统;也就是说,如果响应r(t)并不依赖于将来的激励[如e(t+1)],那么系统就是因果的。
稳定系统与不稳定系统:一个系统,若对有界的激励f(.)所产生的响应y=f(.)也是有界时,则称该系统为有界输入有界输出稳定,简称稳定;即若│f(.)│<∞,其│yf(.)│<∞,则称系统是稳定的。
线性时不变系统:LTI连续系统的微分特性和积分特性
线性性质包括两方面:齐次性和可加性,若系统既是齐次的又是可加的,则称该系统是线性的,即T[a f1(·) + bf2(·)] = a T[ f1(·)] + bT[ f2(·)]。
当动态系统满足下列三个条件时该系统为线性系统:可分解性+零状态线性+零输入线性。
10、描述连续动态系统的数学模型是微分方程,描述离散动态系统的数学模型是差分方程。
解析描述-系统模拟框图描述。
11、系统分析研究的主要问题:
对给定的具体系统,求出它对给定激励的响应;也可以说,系统分析就是建立表征系统的数学方程并求出解答。
采用的数学工具:卷积积分与卷积和,傅里叶变换,拉普拉斯变换,Z变换。
第二章 连续系统的时域分析
微分方程的经典解法
0+和0-初始值
零输入响应与零状态响应
冲激响应和阶跃响应
卷积积分
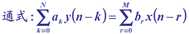
1、微分方程的一般形式:
微分方程的经典解:
y(t)(完全解) = yh(t)(齐次解) + yp(t)(特解)
齐次解是齐次微分方程
的解,yh(t)的函数形式由上述微分方程的特征根确定,而特解的函数形式与激励函数的形式有关。
齐次解的函数形式仅与系统本身的特性有关,而与激励f(t)数形式无关,称为系统的固有响应或自由响应;特解的函数形式由激励确定,称为强迫响应。
2、全响应=齐次解(自由响应)+特解(强迫响应)。
齐次解:写出特征方程,求出特征根(自然频率或固有频率);根据特征根的特点,齐次解有不同的形式;一般形式(无重根):
特解:根据输入信号的形式有对应特解的形式,用待定系数法确定;在输入信号为直流和正弦信号时,特解就是稳态解。
用初始值确定积分常数,一般情况下,n阶方程有n个常数,可用n个初始值确定。
3、0-状态称为零输入时的初始状态,即初始值是由系统的储能产生的;
0+状态称为加入输入后的初始状态,即初始值不仅有系统的储能,还受激励的影响。
从0-状态到0+状态的跃变:当系统已经用微分方程表示时,系统的初始值从0-状态到0+状态有没有跳变决定于微分方程右端自由项是否包含δ(t)及其各阶导数;如果包含有δ(t)及其各阶导数,说明相应的0-状态到0+状态发生了跳变。
0+状态的确定:已知0-状态求0+状态的值,可用冲激函数匹配法;求0+状态的值还可以用拉普拉斯变换中的初值定理求出。
4、各种响应用初始值确定积分常数:
在经典法求全响应的积分常数时,用的是0+状态初始值;
在求系统零输入响应时,用的是0-状态初始值;
在求系统零状态响应时,用的是0+状态初始值,这时的零状态是指0-状态为零。
5、冲激函数匹配法:
目的:用来求解初始值,求(0+)和(0-)时刻值的关系;
应用条件:如果微分方程右边包含δ(t)及其各阶导数,那么(0+)时刻的值不一定等于(0-)时刻的值;
原理:利用t=0时刻方程两边的δ(t)及各阶导数应该平衡的原理来求解(0+)。
6、零输入响应:没有外加激励信号的作用,只有起始状态所产生的响应;
零状态响应:不考虑起始时刻系统储能的作用,由系统外加激励信号所产生的响应;
LTI的全响应:y(t) = yx(t) + yf(t)。
1)零输入响应,即求解对应齐次微分方程的解:
当特征方程的根(特征根)为n个单根(不论实根、虚根、复数根)λ1,λ2, …,λn时,则yx(t)的通解表达式为:
当特征方程的根(特征根)为n个重根(不论实根、虚根、复数根) λ1=λ2=…=λn时,yx(t)的通解表达式为:
步骤总结:
求系统的特征根,写出yx(t)的通解表达式;
由于激励为零,所以零输入的初始值:
,确定积分常数C1、C2、…、Cn;
将确定出的积分常数C1、C2、…、Cn代入通解表达式,即得yx(t)。
2)零状态响应,即求解对应非齐次微分方程的解:
基本步骤:
求系统的特征根,写出的通解表达式yfh(t);
根据f(t)的形式,确定特解形式,代入方程解得特解yfp(t);
求全解,若方程右边有冲激函数(及其各阶导数)时,根据冲激函数匹配法求得
,确定积分常数C1、C2、…、Cn;
将确定出的积分常数C1、C2、…、Cn代入全解表达式,即得。
几种典型自由项函数相应的特解:
7、系统响应划分:
自由响应(Natural)+强迫响应(forced);
暂态响应(Transient)+稳态响应(Steady-state);
零输入响应(Zero-input)+零状态响应(Zero-state)。
零输入响应是自由响应的一部分,零状态响应有自由响应的一部分和强迫响应构成 。
8、冲激响应:系统在单位冲激信号δ(t)作用下产生的零状态响应,称为单位冲激响应,简称冲激响应,一般用h(t)表示。
阶跃响应:系统在单位阶跃信号u(t)作用下的零状态响应,称为单位阶跃响应,简称阶跃响应,一般用g(t)表示。
阶跃响应与冲激响应的关系:线性时不变系统满足微、积分特性
、
。阶跃响应是冲击响应的积分,注意积分限
,对于因果系统为
。
9、任意信号的分解:
任意信号作用下的零状态响应:
卷积定义:已知定义在区间(–∞,∞)上的两个函数f1(t)和f2(t),则定义积分:
(
)
于是,任意信号的零状态响应即为:
卷积的计算步骤可分解为四步:
1)换元:t换为τ→得f1(τ)、f2(τ);
2)反转平移:由f2(τ)反转→f2(–τ)右移t→f2(t-τ);
3)乘积:f1(τ)*f2(t-τ);
4)积分:τ从–∞到∞对乘积项积分。
10、卷积的性质
交换律:?1(t)*?2(t)=?2(t)*?1(t);
分配律:?1(t)*[?2(t)+?3(t)]=?1(t)*?2(t)+?1(t)*?3(t);
结合律:[?1(t)*?2(t)]*?3(t)=?1(t)*[?2(t)*?3(t)];
微分性质:
;
积分性质:
;
微积分性质:
;
应用微积分性质的条件是
必须成立,即必须有
。
f(t)与冲激函数的卷积:?(t)*δ(t)=f(t);
?(t)*δ(t-t0)=?(t-t0);
?(t-t1)*δ(t-t2)=?(t-t1-t2);
δ(t-t1)*δ(t-t2)=δ(t-t1-t2)。
f(t)与冲激偶函数的卷积:?(t)*δ‘(t)=f‘(t)*δ(t)=?‘(t);
?(t)*δ‘‘(t)=?"(t)。
f(t)与阶跃函数的卷积:
;
。
时移性质:若?1(t)*?2(t)=?(t),则有?1(t-t1)*?2(t-t2)=?(t-t1-t2)。
利用卷积积分的性质来计算卷积积分,可使卷积积分的计算大大简化。
第三章 频域分析
第一节 引言
1、从本章开始由时域转入变换域分析。
首先讨论傅里叶变换,傅里叶变换是在傅里叶级数正交函数展开的基础上发展而产生的,这方面的问题也称为傅里叶分析(频域分析),将信号进行正交分解,即分解为三角函数或复指数函数的组合。
频域分析将时间变量变换成频率变量,揭示了信号内在的频率特性以及信号时间特性与其频率特性之间的密切关系。
2、已知一些基本信号,将任意一个信号e(t)(或者我们需要研究的信号)用一个基本信号的线性组合来表示(信号分解)。
如果已知基本信号通过LTI系统的响应r(t),那么任意信号通过系统的响应就可以用r(t)的线性组合来表示。
3、由系统的组成来说:当输入为指数信号时,系统的输出一定也是一个指数信号,只不过指数信号幅值发生变化。
指数信号通过LTI系统的输出,利用卷积法(输入为
):
设
,则
。
4、设激励信号为sin(ω0t),系统的频率响应为
,则系统的稳态响应为:
正弦信号为sin(ω0t)作为激励的稳态响应为与激励同频率的信号,幅度H(jω0)由加权,相移φ(ω0),H(jω)代表了系统对信号的处理效果。
5、三角变换
第二节 周期信号傅里叶级数分析
三角函数形式的傅氏级数
指数函数形式的傅氏级数
两种傅氏级数的关系
频谱图
函数的对称性与傅里叶级数的关系
周期信号的功率
傅里叶有限级数与最小方均误差
1、{ cos(nω1t),sin(nω1t) }是一个完备的正交函数集,t在一个周期内,n=1,2,3,…,∞。
由积分可知:
2、傅里叶级数的三角展开式:
其中:
分析
,
。
3、可画出频谱图:
cn~ω关系曲线称为幅度频谱图;
φn~ω关系曲线称为相位频谱图。
4、指数函数形式的傅里叶级数:
复指数正交函数集:{ ejnω1t },n=±1,±2,…。
级数形式:
。
系数:
。
周期信号可分解为(-∞,∞)区间的指数信号ejnω1t的线性组合。
5、两种系数之间的关系:


幅频特性:
;
相频特性:
。
其中an、φ(nω1)为关于ω的偶函数;bn、F(nω1)为关于ω的奇函数。
6、周期信号的傅里叶级数有两种形式:三角形式和指数形式;
三角函数形式的频谱图为单边频谱,指数形式的频谱图为双边频谱;
三个性质:收敛性、谐波性、唯一性;
引入负频率:函数分解为虚指数,必须有共轭对,才能保证原实函数的性质不变。
7、偶函数的傅里叶形式:
傅里叶级数中不含正弦项,只含直流项和余弦项,F(nω1)为实函数。
奇函数的傅里叶形式:

奇函数中的傅里叶函数中无余弦分量,F(nω1)为虚函数。
奇谐函数的傅里叶形式:

奇谐函数傅里叶级数的偶次谐波为零。
偶谐函数的傅里叶形式:

偶谐函数傅里叶形式的奇次谐波为零。
8、能量信号:一个信号如果能量有限,称之为能量信号;
功率信号:如果一个信号功率是有限的,称之为功率信号。
连续信号能量:
;离散信号能量:
。
物理可实现的信号常常是时间t (或n)的实函数(或序列),其在各时刻的函数(或序列)值为实数,称它们为实信号;
函数(或序列)值为复数的信号称为复信号。
周期信号平均功率 = 直流、基波及各次谐波分量有效值的平方和;也就是说,时域和频域的能量是守恒的,总平均功率 = 各次谐波的平均功率之和。
|Fn|2~ω绘成的线状图形,表示各次谐波的平均功率随频率的分布情况,称为功率谱系数。
9、傅里叶有限级数与最小方均误差:
设有限级数傅里叶级数为
,用
来逼近,那么误差函数为
,方均误差为
。
如果完全逼近,则项数n=∞。
10、对于周期信号f(t)=f(t+nT) ,当其满足狄氏条件时,可展成:

基本信号

。
可见,ejωt通过线性系统后响应随时间变化服从e-jωt , H(jω)相当加权函数。
H(jω)为h(t)的傅立叶变换,也称为系统频率特性或系统函数。
第三节 典型周期信号的傅里叶级数
频谱的特点
频谱结构
频带宽度
能量分布
1、本节以周期矩形脉冲信号为例进行分析,其脉冲宽度为τ,脉冲高度为E,周期为T1。

1)包络线形状为抽样函数;
2)其最大值在n=0处,为Eτ/T1;
3)离散谱(谐波性);
4)第一个零点坐标为2π/τ;
5)F(nω1)是复函数。
2、
。
矩形脉冲的频谱说明了周期信号频谱的特点:离散性、谐波性、收敛性。
第一个零点集中了信号绝大部分能量(平均功率);由频谱的收敛性可知,信号的功率集中在低频段。
周期矩形脉冲信号的功率
。
3、在满足一定失真条件下,信号可以用某段频率范围的信号来表示,此频率范围称为频带宽度。
对于一般周期信号,将幅度下降为
的频率区间定义为频带宽度。
第四节 傅里叶变换
傅里叶变换
傅里叶变换的表示
傅里叶变换的物理意义
傅里叶变换存在的条件
1、傅里叶变换对
:
由f(t)求F(ω)称为傅里叶变换:
F(ω)一般为复信号可表示为:
,其中幅度频谱
、相位频谱
。
由F(ω)求f(t)称为傅里叶反变换:
2、傅里叶变换可表示为不同的形式:

实部为偶函数
,虚部为奇函数
;摸为偶函数
,相位为奇函数
。
其意义为无穷多个频域范围为0→∞、振幅为无穷小
的连续三角函数之和;或者无穷多个频域范围为-∞→+∞、振幅为无穷小
的连续指数函数之和。
3、傅里叶变换存在的条件:
,即f(t)绝对可积。
第五节 典型非周期信号的傅里叶变换
矩形脉冲
单边指数信号
直流信号
符号函数
升余弦脉冲信号
1、矩形脉冲信号

幅度频谱
,相位频谱
。
2、单边指数信号


幅度频谱
,相位频谱
。
3、直流信号
(
)
时域无限宽,频带无限窄(
):

4、抽样信号(
)
5、符号函数(
)

幅度频谱为
,相位频谱为
。
6、升余弦脉冲信号(
)

其幅度频谱为
,其频谱比矩形脉冲更集中。

第六节 冲激函数和阶跃函数的傅里叶变换
冲激函数
冲激偶
单位阶跃函数

2、冲激偶的傅里叶变换
3、单位阶跃函数(
)
第七节 傅里叶变换的基本性质
对称性质
线性性质
奇偶虚实性
尺度变换性质
时移特性
频移特性
微分性质
时域积分性质
1、傅里叶变换具有惟一性,傅氏变换的性质揭示了信号的时域特性和频域特性之间确定的内在联系。
2、对称性质
,
。
,
,
。
3、线性性质
、
,
(c1、c2为常数)。
4、奇偶虚实性
,
,即
,
。
5、尺度变换性质
,则
(a为非零常数)。
0<a<1时域扩展,频带压缩,幅度上升a倍;a>1时域压缩,频域扩展a倍,幅度降低a倍。
此例说明:信号的持续时间与信号占有频带成反比。
有时为加速信号的传递,要将信号持续时间压缩,则要以展开频带为代价。
6、时移特性
,
。
幅度频谱无变化,只影响相位频谱。
时移加尺度变换
,
。
7、频移特性
若
,则
、
。
,
。
8、微分性质
时域微分性质:若
,则
;
频域微分性质:若
,则
。
如果f(t)中有确定的直流分量,应先取出单独求傅里叶变换,余下部分再用微分性质。
9、时域积分性质
若
,则
,
,也可以记作
。
10、一个未经调制的高频正弦信号为:
载波振幅随调制信号的变化规律而变称为调幅;载波频率随调制信号的变化规律而变称为调频;载波相位随调制信号的变化规律而变称为调相。
第八节 卷积特性(卷积定理)
卷积定理
卷积定理的应用
1、时域卷积定理:若
、
,则
。
时域卷积对应频域频谱密度函数乘积。
频域卷积定理:若
、
,则
。
频谱函数的卷积对应相应时间函数乘积的2π倍。
2、冲激偶
冲激偶的性质:
1)筛选性
,对δ(t)的k阶导数
。
2)时移
。
3)奇函数
、
。
4)冲激偶的面积为零
。
5)
。
3、能量为有限值的信号称能量信号;平均功率为有限值的信号称功率信号。
信号f(t)的能量定义为:ΔE=
;
信号f(t)的平均功率定义为:ΔP=
。
4、Parseval定理:周期信号的功率等于该信号在完备正交函数集中各分量功率之和。
Parseval定理:非周期信号在时域中求得的信号能量等于在频域中求得的信号能量。
5、能量信号的能量密度频谱函数G(ω):

为能量密度频谱,表示在ω处的单位频带中的信号能量。
非周期信号可分为无限多个振幅为无限小的频率分量,各频率分量的能量也是无穷小量;为了表示信号的频谱特征,可以借助能量密度的概念;能谱G(ω)~ω表示信号的能量密度在频域中随频率的变化情况。
6、连续时间系统的频域分析:LTI系统的全响应=零输入响应+零状态响应。
时域分析法:
;
频域分析法:
,即
。
其中
称为系统函数。频域分析是变换域分析法的一种,另外还有复频域分析法、Z域分析法等。
第九节 周期信号的傅里叶变换
正弦信号的傅里叶变换
一般周期信号的傅里叶变换
如何由F0(ω)求F(nω1)
单位冲激序列的傅氏变换
周期矩形脉冲序列的傅氏变换
1、周期信号:
;
非周期信号:
。
2、正弦信号的傅里叶变换
由欧拉公式
,已知
,由频移性质得:
3、一般周期信号的傅里叶变换
周期信号的F(ω)只存在于ω=nω1处,频率范围无限小,幅度为∞。
可由F0(ω)求周期函数fT(t)的谱系数F(nω1),即单个脉冲的F0(ω)与周期信号fT(t)的谱系数F(nω1):
4、周期单位冲激序列的傅里叶变换
,因为δT(t)的傅氏级数谱系数是
。
δT(t)的频谱密度函数仍是冲激序列,强度和间隔都是ω1。
5、周期矩形脉冲序列的傅氏变换

第十节 抽样信号的傅里叶变换
抽样
理想抽样
矩形脉冲抽样
抽样定理
1、理想抽样(周期单位冲激抽样)
2、矩形脉冲抽样
3、抽样定理:在一个频带限制在(0,fh)内的时间连续信号f(t),如果以小于等于1/(2fh)的时间间隔对它进行抽样,那么根据这些抽样值就能完全恢复原信号。
或者说,如果一个连续信号f(t)的频谱中最高频率不超过fh,这种信号必定是个周期性的信号,当抽样频率f S≥2fh时,抽样后的信号就包含原连续信号的全部信息,而不会有信息丢失,当需要时,可以根据这些抽样信号的样本来还原原来的连续信号。
4、重建原信号的必要条件:
;不满足此条件,就会发生频谱混叠现象,即抽样频率fs≥2fm是必要条件,或抽样间隔Ts≤1/2fm。
Ts=1/2fm是最大抽样间隔,称为"奈奎斯特抽样间隔";fs=2fm是最低允许抽样频率,称为"奈奎斯特抽样频率"。
5、狄利克雷(Dirichlet)条件:
1)在一周期内,如果有间断点存在,则间断点的数目应是有限个;
2)在一周期内,极大值和极小值的数目应是有限个;
3)在一周期内,信号绝对可积。
6、系统的响应波形与激励波形不相同,称信号在传输过程中产生了失真。
幅度失真:系统对信号中各频率分量的幅度产生不同程度的衰减,引起幅度失真。
相位失真:系统对各频率分量产生的相移不与频率成正比,造成各频率分量在时间轴上的相对位置变化,引起相位失真。
7、理想低通滤波器的频域特性:
ωc为截止频率(Cut off frequency)。
第四章 拉普拉斯变换、连续时间系统的 s 域分析
引言
拉普拉斯变换的定义、收敛域
拉氏变换的基本性质
拉普拉斯逆变换
系统函数H(s)
频率响应特性
滤波特性的分类
线性系统的稳定性
拉氏变换与傅里叶变换的关系
1、拉氏变换是求解常系数线性微分方程的工具,优点如下:
1)求解步骤得到简化,可以把初始条件包含到变换式里,直接求得全响应;
2)拉氏变换分别将时域的"微分"与"积分"运算转换为s域的"乘法"和"除法"运算,也即把微积分方程转化为代数方;
3)将指数函数、超越函数等复杂函数转化为简单的初等函数;
4)将时域中的卷积运算转化为s域中的乘法运算,由此建立起系统函数H(s)的概念;
5)利用系统函数零、极点分布可以简明、直观地表达系统性能的许多规律。
2、当f(t)满足绝对可积条件时,存在傅里叶变换:
由于绝对可积条件限制了某些增长信号傅里叶变换的存在,考虑在f(t)上乘以收敛因子
,
,若f1(t)绝对可积,则存在傅里叶变换:

(
)
单边拉氏变换:
。
双边拉氏变换:
。双边拉氏变换的收敛域有两个边界,一个是由t>0的函数决定的左边界σ1,另一个是由t<0的函数决定的右边界σ2;若σ1<σ2,则双边拉氏变换存在,收敛域为σ1<σ<σ2,若σ1>σ2,则双边拉氏变换不存在。
3、f(t)为原函数,F(s)为象函数。
拉氏逆变换:
。
算子符号法:
,
,
。
4、要使f(t)的拉氏变换存在,必须有
。若存在σ0,使得σ>σ0时,
成立,则s平面上σ>σ0的区域称为F(s)的收敛域。
1)对仅在有限时间范围内取非零值的能量有限信号,
,收敛域为整个s平面;
2)对幅度既不增长也不衰减而等于稳定值的信号,
,收敛域为s右半平面;
3)随时间t成正比增长或随tn成正比增长的信号,
,收敛域为s右半平面;
4)按指数阶规律eαt增长的信号,
,收敛域为σ>α;
5)对于一些比指数函数增长更快的函数,不能进行拉氏变换。
5、常用函数的拉氏变换:
拉氏变换的基本性质:
1)线性性质
若
、
,则
。
2)时域微分特性
若
,则
、
。
3)时域积分特性
若
,则
。
4)延时特性(时域平移)
若
,则
。
5)s域平移
若
,则
。
6)尺度变换
若
,则
(a>0)。
7)初值定理
当F(s)为真分式时,
;
否则,
(分别为多项式与真分式),
。
8)终值定理
当F(s)
的全部极点在s左半平面(允许在s=0处有一阶极点,以保证终值存在)时,
。
9)卷积定理
若
、
,则
(时域卷积定理)、
(s域卷积定理)。
10)s域微分与积分
若
,则
、
。
6、拉普拉斯逆变换:部分分式展开法(仅适用于F(s)为有理分式情况)、围线积分法(留数法)。
部分分式法的实质是利用拉氏变换的线性特性, 先将F(s)分解为若干简单函数之和, 再分别对这些简单象函数求原函数。

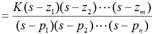
p1、p2、…、pn称为F(s)的极点;分子多项式也可以表示为A(s)=(s-z1)(s-z2)…(s-zm),式中z1,z2,…,zm是A(s)=0方程式的根,也称F(s)的零点。
p1,p2,…,pn既可以是各不相同的单极点,也可能出现有相同的极点即有重极点;分母多项式的阶次一般高于分子多项式(m<n),但也有可能m≥n。
7、设描述LTI系统的n阶微分方程为:

若系统的起始状态为零,则
,对上式两边同时取拉氏变换,得
,有:
系统函数
为系统零状态响应的拉氏变换与激励的拉氏变换之比。
当
时,
,
。
H(p)是一个算子,H(s)是变量s的函数;H(s)只描述系统的零状态特性,而H(p)既描述零状态特性,又描述零输入特性。
集总参数LTI系统的H(s)为有理分式:


z1、z2、…、zm称为H(s)的"零点";p1、p2、…、pn称为H(s)的"极点"。
8、系统函数
,激励
,响应
。
响应
(系统函数极点)
(激励信号极点);
(自由响应)
(强迫响应)。
9、频率响应特性:是指稳定系统在正弦信号激励下,稳态响应随信号频率的变化情况。
幅频响应特性:幅度随频率的变化情况;相频响应特性:相位随频率的变化情况。
,其中
为幅频响应特性,
为相频响应特性。
10、滤波特性的分类:
主要是通带与阻带的不同。
11、全通网络:幅频特性
,对于全部频率的正弦信号都能按同样的幅度传输系数通过。
极点位于左半平面,零点位于右半平面,且零、极点对于jω轴互为镜像。
全通网络用于相位校正。
最小相移网络:极点全部在左半平面,零点也全部在左半平面或jω轴上的网络,称为最小相移网络;含有零点在右半平面的网络称为非最小相移网络。
非最小相移网络可代之以最小相移网络与全通网络的级联。
12、若系统对任意的有界输入,其零状态响应也是有界的,则称此系统为(BIBO)稳定系统。
即对所有的
,产生的响应
,Me、Mr为有界正值。
连续时间LTI系统BIBO稳定的充分必要条件是:
H(s)
的收敛域包含虚轴;连续时间因果LTI系统BIBO稳定的充分必要条件是:
H(s) 的极点全部在左半平面。
由H(s)的极点分布判断因果LTI系统的稳定性:
1)极点全部在左半平面,h(t)衰减,系统稳定;
2)虚轴上有一阶极点,其他极点全部在左半平面,h(t)等幅振荡,系统临界稳定;
3)有极点在右半平面,或虚轴上有二阶或二阶以上极点,h(t)增长,系统不稳定。
13、拉氏变换与傅里叶变换的关系:
当σ0>0时,f(t)是增长函数,不存在傅里叶变换;
当σ0<0时,f(t)是衰减函数,存在傅里叶变换,
;
当σ0=0时,f(t)为等幅或增幅振荡,存在傅里叶变换(包含奇异函数项),
。
第五章 傅里叶变换应用于通信系统
无失真传输
理想低通滤波器
调制与解调
1、幅度失真:系统对信号中各频率分量幅度产生不同程度的衰减,使响应各频率分量的相对幅度产生变化。
相位失真:系统对信号中各频率分量产生相移不与频率成正比,使响应各频率分量在时间轴上的相对位置产生变化。
线性系统:幅度失真与相位失真都不产生新的频率分量。
非线性系统:由于非线性特性对所传输信号产生非线性失真,非线性失真可能产生新的频率分量。
2、信号的失真有正反两方面:
1)如果有意识地利用系统进行波形变换,则要求信号经系统必然产生失真;
2)如果要进行原信号的传输,则要求传输过程中信号失真最小,即要研究无失真传输的条件。
无失真传输概念(即时域波形传输不变):
。
信号无失真传输的条件(对系统提出的要求):
1)(频域角度)系统的频率振幅响应特性是常数K,相位特性是通过原点的直线(群延时
,相位要求即是群延时特性为常数),即
;
2)(时域角度)要求系统的冲激响应仍为冲激函数,即
。
3、理想低通滤波器:具有矩形幅度特性和线性相移特性(实际不可实现)。
频域特性:若ωc为截止频率,则低于ωc的所有信号无失真传送,高于ωc的所有信号完全衰减;相移特性也满足无任何失真传输要求。
理想低通滤波器 输入信号波形 输出信号波形
如果具有跃变不连续点的信号通过低通滤波器传输,则不连续点在输出将被圆滑,产生渐变;因为信号随时间信号的急剧改变,意味着包含许多高频分量,而较平坦的信号则主要包含低频分量,低通滤波器滤掉了一些高频分量。
通过阶跃函数的响应可以证明:上升时间和滤波器截止频率成反比,截止频率越低,在输出端信号上升越缓慢;响应由最小升至最大值所需时间tr=2π/ωc=1/B,即上升时间与系统的介质频率或带宽成反比。
滤波器阶跃响应上升时间与带宽不能同时减少,对不同的滤波器二者之乘积取不同的常数值,且它具有下限,即为"测不准原理"。
4、调制作用的实质:把各种信号的频谱搬移,使它们互不重叠地占据不同的频率范围。


幅度调制是用调制信号去控制高频载波的振幅,使其按调制信号的规律而变化的过程。 一般模型如图所示。
调幅(AM)的时域和频域表示式分别为:

AM信号的总功率包括载波功率和边带功率两部分,只有边带功率才与调制信号有关,因此,从功率上讲,AM信号的功率利用率比较低。
抑制载波双边带调制(DSB-SC):双边带信号(DSB),其时域和频域表示式分别为:
单边带调制(SSB)。
残留边带调制(VSB):在VSB中,不是完全抑制一个边带(如同SSB中那样),而是逐渐切割,使其残留一小部分。
包络检波:由非线性器件和低通滤波器两部分组成。
同步检波:接收端与发射端具有相同频率的本地载波。
5、使高频载波的频率或相位按调制信号的规律变化而振幅保持恒定的调制方式,称为频率调制(FM)和相位调制(PM), 分别简称为调频和调相。
频率或相位的变化都可以看成是载波角度的变化,故调频和调相又统称为角度调制。
相位调制:是指瞬时相位偏移随调制信号m(t)而线性变化,即φ(t)=Kpm(t),其中Kp是常数。于是,调相信号可表示为sPM(t)=Acos[ωct+Kpm(t)]。
频率调制,是指瞬时频率偏移随调制信号m(t)而线性变化,即
,其中Kf是一个常数,相位偏移
,可得调频信号为sFM(t)
。
FM和PM非常相似, 如果预先不知道调制信号m(t)的具体形式,则无法判断已调信号是调相信号还是调频信号。
如果将调制信号先微分,而后进行调频,则得到的是调相波,这种方式叫间接调相;如果将调制信号先积分,而后进行调相, 则得到的是调频波,这种方式叫间接调频。
6、FM抗噪声性能最好,DSB、SSB、VSB抗噪声性能次之,AM抗噪声性能最差。
AM调制的优点是接收设备简单,缺点是功率利用率低,抗干扰能力差;AM制式用于通信质量要求不高的场合,目前主要用在中波和短波的调幅广播中。
DSB调制的优点是功率利用率高,但带宽与AM相同, 接收要求同步解调,设备较复杂;只用于点对点的专用通信,运用不太广泛。
SSB调制优点是功率和频带利用率都较高,抗干扰和抗选择性衰落能力均优于AM, 而带宽只有AM的一半;缺点是发送和接收设备都复杂。SSB制式普遍用在频带比较拥挤的场合,如短波波段的无线电广播和频分多路复用系统中。
VSB调制的部分抑制了发送边带,VSB的性能与SSB相当,VSB解调原则上也需同步解调,但在某些VSB系统中,附加一个足够大的载波,就可用包络检波法解调合成信号。它综合了AM、 SSB和DSB三者的优点,使VSB对商用电视广播系统特别具有吸引力。
FM波的幅度恒定不变,带来了抗快衰落能力,利用自动增益控制和带通限幅还消除快衰落造成的幅度变化效应。窄带FM对微波中继系统颇具吸引力; 宽带FM的抗干扰能力强,可实现带宽与信噪比的互换。宽带FM广泛应用于长距离高质量的通信系统中,如空间和卫星通信、调频立体声广播、 超短波电台等。宽带FM的缺点是频带利用率低,存在门限效应,因此在接收信号弱,干扰大的情况下宜采用窄带FM。
7、脉冲编码调制传输方式:



发送端主要由抽样、量化、编码三部分组成。
PAM信号时具有离散时间连续幅度(阶梯信号)的信号(
);其中量化与编码共同完成模拟-数字转换(A/D)功能(
),PCM信号是具有二进制的数字信号。
量化是把一个连续幅度值的信号变成一个离散幅度值的信号。
编码是把一个离散幅度值的信号变成二进制的数字信号。
8、PCM通信系统的特点:
1)在远距离通信中数字信号经多级中继器转发之后不会积累噪声,除非噪音大到足以影响中继器的判断。
2)当组合多种信号源(语音、图像、数据信号)传输时具有很好的灵活性,
。
3)在模拟信号的量化与重建的过程中产生量化噪音,可通过合理设计A/D和D/A进行限制。
4)传输时占用频带相对明显加宽。
8、将若干路信号以某种方式汇合,统一在同一信道中传输称为多路复用。
频分复用原理:在发送端将各路信号频谱搬移到各不相同的频率范围,使它们互不重叠,这样就可复用同一信道传输;在接收端利用若干滤波器将各路信号分离,再经解调即可还原为各路原始信号。
时分复用的理论依据:抽样定理,-fm至+fm的信号,可由间隔为1/2fm的抽样值惟一确定,从这些瞬时抽样值可以正确恢复原始的连续信号。
信道仅在抽样瞬间被占用,其余的空闲时间可供传送第二路、第三路、……等各路抽样信号使用;在接收端,这些抽样值由适当的同步检测器分离;将各路信号的抽样值有序地排列就可实现时分复用。
码分复用是指利用一组正交码序列来区分各路信号,它们占用的频带和时间都可以重叠。码分复用的典型应用是移动通信中的码分多址通信(CDMA)。
第六章 离散信号与系统时域分析
离散信号
离散系统时域分析经典法
离散系统的单位序列响应
卷积和
1、如果信号仅在一些离散的瞬间具有确定的数值,则称之为离散时间信号。
一般用f(kT)表示,其中k=0、±1、±2、…,T为离散间隔。也把这种按一定规则有秩序排列的一系列数值称为序列,简记为f(k),常用序列{f(k)}表示。
同时也可以用数据表格形式给出,或以图形方式表示。
2、离散时间信号的时域运算:
1)相加f(k)=f1(k)+f2(k);
2)相乘f(k)=f1(k)f2(k);
3)数乘f(k)=af(k);
4)累加和
;
5)移位
;
6)折叠
;
7)倒相
;
8)展缩
。
需要注意的是,对f(k)进行展缩变换后所得序列y(k)可能会出现k为非整数情况,在此情况下舍去这些非整数的k及其值。
还应指出,对于离散信号压缩后再展宽不能恢复原序列了。
9)差分
f(k)的后向差分记为
、
;
f(k)的前向差分记为
、
。
3、常用的离散时间信号
1)单位序列
。
性质:
、
、
。
2)单位阶跃序列
。
单位阶跃序列和单位序列的关系:
、
。
3)单位矩形序列(门序列)
。
4)单边实指数序列
。
5)正弦序列
。
若离散信号f(k)满足
,则f(k)为周期离散时间信号。
4、当系统T{af(k)}=aT{f(k)}则称系统满足齐次性。
当系统T{f1(k)+f2(k)}=T{f1(k)}+T{f2(k)},则称系统满足叠加性。
当系统同时满足齐次性和叠加性时,则称该系统满足线性。
若离散时间系统的响应可分解为零输入响应和零状态响应(可分解性); 且零输入响应和零状态响应分别满足齐次性和叠加性(零输入线性、零状态线性),则称该系统为线性离散时间系统。
时变与时不变离散时间系统:若
,则
,称为时不变系统,否则称为时变系统。
因果离散时间系统:如果系统响应总是出现在激励施加之后,则该系统称为因果系统,否则称之为非因果系统。
离散时间系统的基本运算单元:延时器、加法器、数乘器。
离散时间系统的模拟(模拟框图)。
5、差分方程时域经典求解
若
,则
称之为其对应的齐次差分方程。
对于该n阶其次差分方程,其对应的特征方程为
。
1)若n个特征根互补相同,则其次差分方程解的形式为
;
2)若λ是特征方程的r重根,即有λ1=λ2=……=λr,而其余n-r各根均为单根,则其次差分方程解的形式为
。
非齐次差分方程的特解形式
6、离散时间系统的响应的分解方式:零输入响应和零状态响应,自由响应和强迫响应,暂态响应和稳态响应。
7、对于线性时不变离散时间系统,若激励为单位序列δ(k)时,其系统的零状态响应h(k)称为单位序列响应。
1)迭代法是一种递推法,通过不断迭代求得单位序列响应。
2)等效初值法,当k>0时,系统等效为一个零输入系统,求系统单位序列响应转化为求系统等效零输入响应。
8、离散系统的时域分解
。
设两个离散时间信号为f1(k)和f2(k),定义f1(k)与f2(k)的卷积和运算为
。
卷积和的性质:
1)交换律:
;
2)结合律:
;
3)分配律:
;
4)移位性质:若
,则
;
5)其他性质:若
,则
;
6)
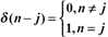
。
9、卷积和
的图解法计算四步骤:
反褶、平移、相乘、求和。
10、对于线性时不变离散时间系统,若激励为单位序列,单位序列响应为h(k),则激励与系统零状态响应之间有如下关系:
第七章 离散信号与系统
连续时间信号与系统
离散时间信号——序列
离散时间系统的数学模型——差分方程
常系数线性差分方程的求解
离散时间系统的单位样值(单位冲激)响应
卷积(卷积和)
解卷积(反卷积)
1、连续时间信号:f(t)是连续变化的t的函数,除若干不连续点之外对于任意时间值都可以给出确定的函数值,函数的波形都是具有平滑曲线的形状,一般也称模拟信号。
连续时间系统:系统的输入、输出都是连续的时间信号。
离散时间信号:时间变量是离散的,函数只在某些规定的时刻有确定的值,在其他时间没有定义。
离散时间系统:系统的输入、输出都是离散的时间信号。
采样过程就是对模拟信号的时间取离散的量化值过程,得到离散信号;幅值只能分级变化。数字信号就是离散信号在各离散点的幅值被量化的信号。
2、系统分析
连续时间系统——微分方程描述:
离散时间系统——差分方程描述:
3、序列的三种形式:单边序列、双边序列、有限长序列。
离散信号的运算:
1)相加:z(n)=x(n)+y(n);
2)相乘:z(n)=x(n)·y(n);
3)乘系数:z(n)=ax(n);
4)移位:(右移位)z(n)= x(n-m),(左移位)z(n)=x(n+m);
5)倒置:z(n)=x(-n);
6)差分:(前向差分)Δx(n)=
x(n+1)-
x(n),(后向差分)
;
7)累加:
;
8)重排(压缩、扩展):
或
;
9)序列的能量:
。
4、常用离散信号
1)单位样值信号
。
时移性
;比例性
;抽样性
。
注意:δ(t)用面积(强度)表示,t→0,幅度→∞;δ(n)在n=0取有限值,不是面积。
利用单位样值信号表示任意序列:
。
2)单位阶跃序列
。
u(n)可以看作是无数个单位样值之和:
,而
,δ(n)与u(n)是差和关系,不再是微商关系。
3)矩形序列
。
它与u(n)的关系:
。
4)斜变序列
。
5)单边指数序列
。
6)正弦序列
;余弦序列
。
ω0——正弦序列的频率,序列值依次周期性重复的速率。
数字频率ω0可以连续变化,但只能在(-π,π)范围内取值。
7)复指数序列
。
复序列用极坐标表示为
。
5、由微分方程导出差分方程。
差分方程的特点:
1)输出序列的第n个值不仅决定于同一瞬间的输入样值,而且还与前面输出值有关,每个输出值必须依次保留;
2)差分方程中变量的最高和最低序号差数为阶数。
如果一个系统的第n个输出决定于刚过去的几个输出值及输入值,那么描述它的差分方程就是几阶的。
3)微分方程可以用差分方程来逼近,微分方程解是精确解,差分方程解是近似解,两者有许多类似之处。
4)差分方程描述离散时间系统,输入序列与输出序列间的运算关系与系统框图有对应关系,应该会写会画。
6、常系数线性差分方程的求解:
1)迭代法;
2)时域经典法:齐次解+特解;
3)零输入响应+零状态响应(利用卷积求系统的零状态响应);
4)z变换法→反变换→y(n)。
求差分方程齐次解步骤:差分方程→特征方程→特征根→y(n)的解析式→由起始状态定常数。
7、单位样值响应:即δ(n)作用下,系统的零状态响应,表示为 h(n)。
因果系统:输出变化不领先于输入变化的系统。
对于线性时不变系统是因果系统的充要条件:
。
稳定性的充要条件:
。
单位样值响应绝对和为有限值(绝对可和)收敛。
8、任意序列x(n)表示为δ(n)的加权移位之线性组合:


系统对x(n)的响应=每一样值产生的响应之和,在各x(m)处由加权。
卷积和的公式表明:h(n)将输入输出联系起来,即零状态响应= x(n)* h(n)。
离散卷积的性质:
1)交换律:
;
2)结合律:
;
3)分配律:
;
4)x(n)*δ(n) 不存在微分、积分性质。
9、卷积计算:
。
离散卷积过程:序列倒置→移位→相乘→取和。
1)解析式法;
2)图解法;
3)对位相乘求和法求卷积;
4)利用性质。
10、反卷积:在
式中,已知y(n)、h(n),求x(n)的过程。
第八章 状态变量法
基本概念与定义
连续时间系统状态方程的建立与求解
1、研究系统的输入与输出的关系,通称为端口法。
对于动态系统,在任意时刻,都能与激励一起确定系统全部响应的一组独立完备的变量,称为系统的状态变量。
状态变量在某一时刻t0的值,称为系统在t0时刻的状态。
状态变量在t=0-时刻的值称为系统的初始状态或起始状态,X(0-)也称为初始状态向量或起始状态向量。
从已知的激励与初始状态,求状态向量的一阶向量微分方程,称为状态方程。
2、一阶向量微分方程的形式:
(A常称为系统矩阵,B常称为控制矩阵)。
状态方程与输出方程,共同构成了描述系统特性的完整方程(即数学模型),统称为系统方程。
3、以系统的状态方程与输出方程为研究对象,对系统特性进行系统分析的方法,称为状态变量法。
一般步骤:
1)选择系统的状态变量;
2)列写系统的状态方程;
3)求解状态方程,以得到状态向量;
4)列写系统的输出方程;
5)将第(3)步求得的状态向量及已知的激励向量,代入第(4)步所列出的输出方程中,即得所求响应向量。
原文:http://www.cnblogs.com/nevel/p/6194511.html