为什么圆的面积 \( S = \pi r^2 \)? 怎么证?
这个公式很重要,因为它是求一切旋转体(圆柱,圆锥,圆台,球,等等)体积的基础,最好能比较严格地证出,而不是近似一下算完。
证法可以有很多,但是那些广为人知的「证法」多多少少都有问题。
切西瓜片?太不严密,不能令人信服:

人家圆弧明明是弯的,你凭什么说人家是直的?无论你分成多少份,那圆弧始终都是弯的,拼起来永远都不可能成为平行四边形。逼近也得讲道理,不然对了也是碰巧对了。
要说逼近都是对的的话,用类似的逻辑,也可以证明 \(\pi=4\):

难道这也是对的?
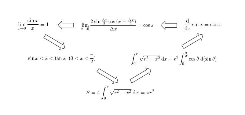
积分?这就陷入了循环论证:

积分就要换元,换元就要回到导数,导数又要回到极限。要证极限 \(\lim_\limits{x \to 0}\frac{sin{x}}{x}=1\) 的值为 1, 就要利用不等式 \(\sin{x}<x<\tan{x}\) (\(x\) 是锐角) 导出不等式 \( \cos{x}<\frac{sin{x}}{x}<1 \). 那么问题来了:为什么不等式 \(\sin{x}<x<\tan{x}\) 在锐角范围内成立?教材说,你画个圆,再画个角,由面积关系可知,该不等式 显~然~ 成立。

问题是,扇形 \(OPA\) 的面积为什么是 \(\frac{1}{2}x\)? 根据圆完美的对称性可知,圆心角为 x 的扇形,其面积为整个圆的面积的 \(\frac{x}{2\pi}\) 倍,……
等等,整个圆的面积是多少来着?我现在在求的不就是这个吗?这不又绕回来了?

那么现在问题来了:循环论证?为什么会这样?到底怎样才能令人信服地推导出圆的面积公式?
要解决这个问题,先想一想,圆的面积公式到底反映了什么。从表面上看其实无非就两点:
一、圆的面积和半径的平方成正比
二、比例系数是圆周率 \(\pi\)
那么圆周率又是什么?圆周率就是直径为单位长度的圆的周长。注意并不是我们算出了这个长度等于圆周率,而是定义了这个长度等于圆周率。所以说,圆的面积公式实际上反映的是圆的面积和周长(弧长)与半径的关系,即:
\(S=\frac{1}{2}CR\)
知道了这一点,再来想一想极限 \(\lim_\limits{x \to 0}\frac{sin{x}}{x}=1\) 的几何意义是什么。这可以有两种理解:
一、当角足够小时,三角形的面积趋近于扇形的面积
二、当角足够小时,弦长趋近于弧长
(那个不等式同理,也可以有面积和弧长两种解释)
之所以上面的方法出现了循环论证,就是因为使用了第一种和面积有关的解释,而此时圆的面积是多少还不知道呢。由此看来,使用第二种解释比较合适。
上面两点都说明了弧长的地位(它是最基本的,因为 \(\pi\) 是用弧长直接定义的)。所以不妨从弧长的角度出发重新考虑一下怎么推出极限 \(\lim_\limits{x \to 0}\frac{sin{x}}{x}=1\).

如图,作 \(\angle POA=x \in (0, \frac{\pi}{2})\), 则有 \(MA=\sin{x}\), \(\overset{\frown}{PA}=x\), \(TA=\tan{x}\). 延长 \(AM\) 交圆于 \(B\), 连接 \(OB\), \(BT\) 得到一个对称的风筝形。
如果能证明原来那个不等式 \(\sin{x}<x<\tan{x}\), 即 \(MA<\overset{\frown}{PA}<TA\), 就可以推出所求极限。
又因为 \(MA<\overset{\frown}{PA}<TA \Leftrightarrow 2MA<2\overset{\frown}{PA}<2TA \),
所以只需证 \(AB<\overset{\frown}{AB}<TA+TB\).
\( AB<\overset{\frown}{AB} \) 这一点非常直观,两点之间线段最短;\( \overset{\frown}{AB}<TA+TB \) 这一点也不难看出,毕竟相对于弦 \(AB\), 弧 \(AB\) 和折线 \(A-T-B\) 都是凸的,而折线又在弧的外面,所以折线比弧要长。如果承认这两点,极限就得证了。极限得证了,算出面积就不是问题了。
可能第二点(折线比弧长)有点牵强,但是承认这一点总比陷入循环论证要好得多。事实上古希腊的阿基米德就是靠这两点严格证出的圆的面积公式:

(引自欧阳顺湘翻译的 Bill Casselman 的论文《阿基米德论圆的周长与面积》,以下贴上该文中对这两个引理的说明)



那要是不承认这两个关于曲线长度的引理呢?
如果不承认的话,那就无法在几何直观上比较曲线的长度(弧长)了。如果长度都不能比较,那么长度又有什么意义呢?
所以,如果不承认的话,就必须定义谁长谁短,换句话说,就必须严格定义曲线的长度。如果使用微积分中的曲线长度定义(折线长度的极限),那么再由此定义弧度后极限 \(\lim_\limits{x \to 0}\frac{sin{x}}{x}=1\) 就不证自明,推出圆的面积公式也就不能成为问题。而且如果这样定义曲线的长度,不需要 \(\lim_\limits{x \to 0}\frac{sin{x}}{x}=1\) 这一结论即可证明圆的面积公式:
根据微积分中对曲线长度的定义,可得出光滑曲线的长度等于下面的定积分:
\( \int_{a}^{b}\sqrt{[x‘(t)]^2+[y‘(t)]^2}\mathrm{d}t \)
由此可得圆的周长为
\( c = 4\int_{0}^{r}\sqrt{1+(\frac{\mathrm{d} }{\mathrm{d} x}\sqrt{r^2-x^2})^2}\;\mathrm{d}x \)
\( = 4\int_{0}^{r}\frac{r}{\sqrt{r^2-x^2}}\mathrm{d}x \)
由此可得,圆的周长与半径成正比(符合几何直观),并定义单位圆的周长为 \(2\pi\). 由此得 \( c = 2\pi r \)
又因为圆的面积为 \( s = 4\int_{0}^{r}\sqrt{r^2-x^2}\;\mathrm{d}x \)
所以要证的圆的面积公式等价于
\( 2s = rc \)
\( \Leftrightarrow 2\int_{0}^{r}\sqrt{r^2-x^2}\;\mathrm{d}x=r\int_{0}^{r}\frac{r}{\sqrt{r^2-x^2}}\;\mathrm{d}x \)
\( \Leftrightarrow 2\int_{0}^{r}\sqrt{r^2-x^2}\;\mathrm{d}x=\int_{0}^{r}\frac{r^2}{\sqrt{r^2-x^2}}\;\mathrm{d}x \)
\( \Leftrightarrow 2\int_{0}^{r}\sqrt{r^2-x^2}\;\mathrm{d}x=\int_{0}^{r}\frac{(r^2-x^2)+x^2}{\sqrt{r^2-x^2}}\;\mathrm{d}x \)
\( \Leftrightarrow 2\int_{0}^{r}\sqrt{r^2-x^2}\;\mathrm{d}x=\int_{0}^{r}\frac{r^2-x^2}{\sqrt{r^2-x^2}}\;\mathrm{d}x+\int_{0}^{r}\frac{x^2}{\sqrt{r^2-x^2}}\;\mathrm{d}x \)
\( \Leftrightarrow 2\int_{0}^{r}\sqrt{r^2-x^2}\;\mathrm{d}x=\int_{0}^{r}\sqrt{r^2-x^2}\;\mathrm{d}x-\int_{0}^{r}x\cdot\frac{-x}{\sqrt{r^2-x^2}}\;\mathrm{d}x \)
\( \Leftrightarrow \int_{0}^{r}\sqrt{r^2-x^2}\;\mathrm{d}x=-\int_{0}^{r}x\cdot\;\mathrm{d}(\sqrt{r^2-x^2}) \)
\( \Leftrightarrow \int_{0}^{r}\sqrt{r^2-x^2}\;\mathrm{d}x=-\left [(x\sqrt{r^2-x^2})\bigg\rvert _{0}^{r}-\int_{0}^{r}\sqrt{r^2-x^2}\;\mathrm{d}x\right ] \)
\( \Leftrightarrow \int_{0}^{r}\sqrt{r^2-x^2}\;\mathrm{d}x=-\left [0-\int_{0}^{r}\sqrt{r^2-x^2}\;\mathrm{d}x\right ] \)
\( \Leftrightarrow \int_{0}^{r}\sqrt{r^2-x^2}\;\mathrm{d}x=\int_{0}^{r}\sqrt{r^2-x^2}\;\mathrm{d}x \)
得证。
说来说去都是积分,能不能不用积分?能不能不用繁琐的曲线长度定义?
当然可以。退而求其次,我们可以只定义圆弧的长度,并使这个定义能放到一般曲线长度定义的框架之内。而且上文提到,阿基米德就没用积分(那个时代根本就没有积分这种东西)。但他的方法有点麻烦(见上文提到的那篇论文)。这里结合刘徽的方法,给出一个更简单的证明。虽然没用积分,但也用到了极限的概念和性质,以及实数基本定理。

(图片来自 Wikipedia, 实在懒得画图了)
先定义圆弧长,求出周长。
作出圆的内接正 \( 6\cdot 2^n \) 边形。易知该多边形的边长随 \(n\) 严格单增(图中红色和蓝色的三角形的两腰之和大于底边长)。又因为内接多边形的边长一定小于圆的周长(承认两点间线段最短),所以由单调有界收敛定理知,\(n\) 趋近于无穷时,边长必收敛。定义边长的极限为圆的周长。由此得圆的周长和半径成正比。定义半径为 \(\frac{1}{2}\) 的圆的周长为 \(\pi\).
再证圆内接正多边形的面积收敛于圆的面积,然后利用已求出的周长和极限的惟一性求出圆的面积。
设半径为 \(r\) 的圆的面积为 \(S\), 内接正 \( 6\cdot 2^n \) 边形的边长为 \(L_n\), 面积为 \(S_n\). 由定义知 \(\lim_\limits{n\to\infty}L_n=2\pi r\). 设 \(\Delta_n = S_n - S\). 作出该圆的内接正 \( 6\cdot 2^n \) 边形和内接正 \( 6\cdot 2^{n+1} \) 边形。考察 \(\Delta_{n+1} \) 和 \( \Delta_n \) 的关系。不妨设图中绿色部分为圆内接正 \( 6\cdot 2^n \) 边形。观察图中长方形 \(ABCD\) 可知
\( 6 \cdot 2^n \cdot S_{ABCD} > \Delta_n \)
\( 6 \cdot 2^n \cdot \frac{1}{2}S_{ABCD} > \frac{1}{2}\Delta_n \)
\( S_{n+1}-S_n > \frac{1}{2}\Delta_n \)
\( \Delta_n - \Delta_{n+1} > \frac{1}{2}\Delta_n \)
\( \Delta_{n+1} < \frac{1}{2}\Delta_n \)
由此得
\( \Delta_{m+p} < \frac{1}{2^p}\Delta_m \)
\( \Delta_{n+1} < \frac{1}{2^{n}}\Delta_1 \)
\( \Delta_n < \frac{1}{2^{n-1}}\Delta_1 \;\; (n \geqslant 2) \)
因为 \( \frac{1}{2^{n-1}}\Delta_1 \) 当 \(n\) 足够大时可以任意小,所以 \( \Delta_n \) 可以任意小,所以 \( \lim_\limits{n\to\infty}S_n = S \).
又因为 \( S_n=\frac{1}{2}h\cdot L_n = \frac{1}{2}r(\cos{\frac{180^{\circ}}{2^n}})\cdot L_n \)
所以 \( \lim_\limits{n->\infty}S_n = \frac{1}{2}r\cdot 2\pi r = \pi r^2 \)
又由极限的惟一性知 \( S = \pi r^2 \).
证毕。
圆的面积公式反映的是圆的面积与周长的关系,因此圆上的弧长不能是模糊不清的概念。
满足以下两个条件之一,便可严格证明圆的面积公式:
一、承认几何直观上比较弧长和直线与折线长度的两个结论
二、严格定义弧长
第一次发现教材里有这个循环论证并得到确认后我还是很震惊的。数学教材怎么会出这么大一个漏洞?虽然涉及几何直观的地方,因为几何本身就不严谨,所以有一点不严格也无伤大雅,但是这么一个大问题在那里,教材一句话也不说就默认没问题了,这是不能忍的。好歹加个注说明一下。
原文:http://www.cnblogs.com/li-hua/p/6217949.html