首页 > Web开发 > 详细

微软亚洲实验室一篇超过人类识别率的论文:Delving Deep into Rectifiers: Surpassing Human-Level Performance on ImageNet Classification ImageNet Classification

时间:2016-12-31 12:24:24      阅读:582      评论:0      收藏:0      [点我收藏+]

该文章的两大创新点:一个是PReLU,一个是权值初始化的方法。下面我们分别一一来看。

 

 

PReLU(paramter ReLU)

所谓的PRelu,即在 ReLU激活函数的基础上加入了一个参数,看一个图就明白了:

技术分享

右边的图上多了一个参数吧,在负半轴上不再为0,而是一个可以学习的斜率。  很容易明白。实验结果显示该方法可以提高识别率。

 

权值初始化的方法:

 

对于文中的权值初始化问题:主要思想是跟随了“Xavier”的初始化的思想,研究了第一层layer的响应的 variance。下面的推导过程是基于ReLU激活函数的。 分为一下两种情况来分析:

forward propagation:

在推导前,先说一些符号的代表意义:yL表示第L层上的一个feature map上的一个神经单元的response(这里的response指的是上一层的所有连接单元的加权和,是不经过激活函数哈,这里把激活函数作另外的一个行为吧);yL 经过激活函数看得到的值我们记作XL;  bL表示偏置;L层的feature map的个数用 dL表示; 卷积核的大小表示为k*K(可能不同的layer的卷积核不一样哦,这里就不区分了); 激活函数表示为f();

以下为正向传播的卷积过程(只画出了一个feature map的情况) :

技术分享

其中一个输出值用公式表示 如下(接收域的feature map 的个数为 dL-1) :

技术分享

 

接下来呢,我们会这么做:

1. 初始化时,我们把权值WL里的各元素 初始化为独立同分布的变量,且令 WL 的均值为 0 ;

2. 我们假设元素 XL 的变量也是独立同分布的变量;

3. WL 与 XL 是相互独立的;

 

往下的推导会用于以下概率论中的知识:

对于随机变量X,它的期望可以表示为EX,下面看看它的方差怎么表示:

DX  = E(X-EX)2 = E(X2-2XEX +(EX)2) = EX2 - (EX)2

所以当 EX=0时,DX = EX2

当随机变量X与随机变量Y相互独立时,我们有这样的结论:

EXY = EX * EY

DXY = EX2EY2 –(EX)2(EY)2

D(X+Y) = DX + DY

 

在上面的条件下我们继续推导,推导的核心为求 response 的 方差(variance):

技术分享

所以就得到了:

技术分享

 

然后呢,我们让W L-1 的对称分布在0值的左右,这样同时也就可以让 W 的均值为0 (或期望为0)了,然后,这样的话, y L-1 的分布也是对称分布在0值左右了。y L-1 的期望也为0 了。所以就有了下面的结果:

技术分享

代入到上面公式中得到:

技术分享

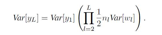
把L层的layer 联合起来,我们可以得:

技术分享

 

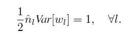
为了使 y1 的方差与 yL 的方差相等,我们就需要另:

技术分享  ,其中 l = 2, 3, 4, …… L。

 

对于第一层的输入,我们有这样的公式:

技术分享

所以第一层对应的条件为:

技术分享

 

为了各层之间 统一起来, 第一层差个1/2也没事,所以呢,对于前向传导,权值应该满足这样的条件:

技术分享

其中:

技术分享,K 为第K层的卷积核的大小。

 

结论: 权值满足 mean 为0,  方差为 2/ nl 的条件.

 

 

Backward Propagation :

 

对于反向传播时,利用BP算法,当我们在推导公式中,总要求出目标函数对每一层的输入值的 偏导数。下面的公式如果你没有推导过这个BP过程的话,可能有点看不懂哦:

技术分享

上面的公式可能和论文里的有点不一样,因为吧,论文里一次性把多个feature map上的对应元素求出来了,我觉得对于下面的推导,求一个就够 了。对于上面公式的过程,我自己画了一个图表示一下 :

技术分享

对上图的说明:1,我只画出了一个 feature map的情况;2,还有注意卷积核,与正向传播时的卷积核有差别(旋转了180度);3,卷积的对象以及输出的对象都是偏导数;4,可以与正向传播时作个对比;

下面为推导过程,也是围绕着 方差来的:

技术分享

然后,就得到了:

技术分享

当我们把L层合在一起时,变为了:

技术分享

当然,对于X0(它表示网络的输入)没有必要去求偏导数,但是为了推出第一层网络权值满足的条件,我们也可以写出来:

技术分享,它同样符合公式的哦,我已经证明过了。。。

对于前向传导时,在第一层会有一个1/2的差别,但是在这反向传播中没有。其实反射传播也存在一层的差别,只不过是在L+1层,因为在第L层往后可能没有激活函数了。

 

所以呢,在反向传播过程中,为了使偏对数的方差相同的话,那么需要满足的条件为:

技术分享

技术分享,K 为第L层的卷积核。

 

注意了正向与反向的差别了吧,为了均衡正向与反向传播,我们可以取其平均值哦。

 

 

还没写完,晚上继续下完它。

微软亚洲实验室一篇超过人类识别率的论文:Delving Deep into Rectifiers: Surpassing Human-Level Performance on ImageNet Classification ImageNet Classification

原文:http://www.cnblogs.com/yinheyi/p/6238968.html

(0)
(0)
   
举报
评论 一句话评论(0
关于我们 - 联系我们 - 留言反馈 - 联系我们:wmxa8@hotmail.com
© 2014 bubuko.com 版权所有
打开技术之扣,分享程序人生!