该文章参考周志华老师著的《机器学习》一书
1. 朴素贝叶斯分类器
朴素贝叶斯分类器采用了“属性条件独立性假设”:对已知类别,假设所有属性相互独立,即假设每个属性独立的对分类结果发生影响。
d为属性数目,xi 为 x 在第 i 个属性上的取值,朴素贝叶斯分类器的表达式为:

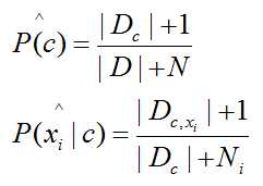
令 Dc 表示训练集 D 中第 c 类样本的集合,例如西瓜数据集有两个类别:好瓜和坏瓜,若有充足的独立同分布样本,则
对于离散属性:
,Dc,xi 表示 Dc 在第 i 个属性上取值为 xi 的样本组成的集合;对于连续属性考虑连续密度函数,假定 p(xi|c) 服从正态分布。
为了避免其他属性携带的信息被训练集中未出现的属性抹去,在估计概率值时通常要进行平滑。N 表示训练集 D 中可能的类别数,Ni 表示第 i 个属性可能的取值数:

2. 半朴素贝叶斯分类器
放松独立性条件,适当考虑一部分属性间的相互依赖信息,“独依赖估计”(简称ODE)是半朴素贝叶斯分类器常用的一种策略。主要有三种方法:
(1)SPODE(超父独依赖估计),假设所有的属性都依赖于同一个属性,最后类别结点和每个属性都连接起来;
(2)TAN(Tree Augmented naive Bayes),在最大带权树的基础上,步骤如下:计算两个属性之间的互信息;以属性为结点构建完全图,任意两个结点之间的边的权重设为互信息;构建次完全图的最大带权生成树,挑选根变量,将边置为有向;加入类别结点y,增加从y 到每个属性的有向边。
(3)AODE(平均独依赖估计),尝试将每个属性作为超父来构建SPOE,集成结果,与朴素贝叶斯相似,无需模型选择,是对符合条件的样本计数。

3. 贝叶斯网
简称“信念网”,借助有向无环图(DAG)来刻画属性之间的依赖关系
4. EM算法
前面的讨论假设样本所有属性变量的值都已被观测到,但在现实应用中训练样本很难是完整的,所以会存在未观测到的变量,即“隐变量”,所以用到EM(期望最大化)算法:第一步是期望(E)步,利用当前估计的参数值来计算对数似然的期望值(即最优隐变量的值);第二步是最大化(M)步,寻找能使E步产生的似然期望最大化的参数值。然后交替下去,直至收敛到局部最优解。可看作是坐标下降法。
原文:http://www.cnblogs.com/rgly/p/6511918.html