| Time Limit: 3000MS | Memory Limit: 131072K | |
| Total Submissions: 22265 | Accepted: 9334 |
Description
Given a n × n matrix A and a positive integer k, find the sum S = A + A2 + A3 + … + Ak.
Input
The input contains exactly one test case. The first line of input contains three positive integers n (n ≤ 30), k (k ≤ 109) and m (m < 104). Then follow n lines each containing n nonnegative integers below 32,768, giving A’s elements in row-major order.
Output
Output the elements of S modulo m in the same way as A is given.
Sample Input
2 2 4 0 1 1 1
Sample Output
1 2 2 3
Source
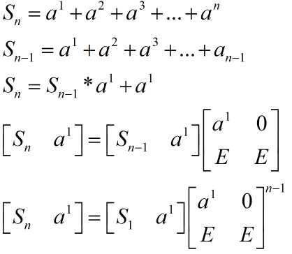
我们先可以把式子转化为递推的,然后就可以用矩阵来加速计算了。 矩阵是加速递推计算的一个好工具

我们可以看到,矩阵的每个元素都是一个矩阵,其实这计算一个分块矩阵,我们可以把分块矩阵展开,它的乘法和普通矩阵的乘法是一样的。
当然了,我们还可以用二分的方法方法来计算

#include<cstdio> #include<cstring> #define m(s) memset(s,0,sizeof s); struct matrix{int s[60][60];}A,F; int n,k,mod; matrix operator *(const matrix &a,const matrix &b){ matrix c; for(int i=0;i<n;i++){ for(int j=0;j<n;j++){ c.s[i][j]=0; for(int k=0;k<n;k++){ c.s[i][j]+=a.s[i][k]*b.s[k][j]; c.s[i][j]%=mod; } } } return c; } matrix fpow(matrix a,int p){ matrix ans; for(int i=0;i<n;i++) ans.s[i][i]=1; for(;p;p>>=1,a=a*a) if(p&1) ans=ans*a; return ans; } void Clear(){ m(A.s);m(F.s); } int main(){ while(~scanf("%d%d%d",&n,&k,&mod)){ Clear(); for(int i=0,x;i<n;i++){ for(int j=0;j<n;j++){ scanf("%d",&x);x%=mod; F.s[i+n][j]=F.s[i][j]=A.s[i][j]=x; } A.s[i][i+n]=A.s[i+n][i+n]=1; } n<<=1; A=fpow(A,k-1); F=A*F; n>>=1; for(int i=0;i<n;i++){ for(int j=0;j<n;j++){ printf("%d ",F.s[i][j]); } putchar(‘\n‘); } } return 0; }
原文:http://www.cnblogs.com/shenben/p/6616102.html