小 X 自幼就很喜欢数。但奇怪的是,他十分讨厌完全平方数。他觉得这些
数看起来很令人难受。由此,他也讨厌所有是完全平方数的正整数倍的数。然而
这丝毫不影响他对其他数的热爱。
这天是小X的生日,小 W 想送一个数给他作为生日礼物。当然他不能送一
个小X讨厌的数。他列出了所有小X不讨厌的数,然后选取了第 K个数送给了
小X。小X很开心地收下了。
然而现在小 W 却记不起送给小X的是哪个数了。你能帮他一下吗?
小 X 自幼就很喜欢数。但奇怪的是,他十分讨厌完全平方数。他觉得这些
数看起来很令人难受。由此,他也讨厌所有是完全平方数的正整数倍的数。然而
这丝毫不影响他对其他数的热爱。
这天是小X的生日,小 W 想送一个数给他作为生日礼物。当然他不能送一
个小X讨厌的数。他列出了所有小X不讨厌的数,然后选取了第 K个数送给了
小X。小X很开心地收下了。
然而现在小 W 却记不起送给小X的是哪个数了。你能帮他一下吗?
包含多组测试数据。文件第一行有一个整数 T,表示测试
数据的组数。
第2 至第T+1 行每行有一个整数Ki,描述一组数据,含义如题目中所描述。
含 T 行,分别对每组数据作出回答。第 i 行输出相应的
第 Ki 个不是完全平方数的正整数倍的数。
对于 100% 的数据有 1 ≤ Ki ≤ 10^9, T ≤ 50
询问第 k 个不含完全平方因子的数。
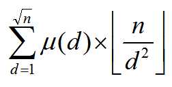
显然我们可以简化一下问题,二分答案。那么我们就只需要知道:1~n中 不含完全平方因子 的数的个数。
然后我们思考一下容斥,用(总数-完全平方数个数):完全平方数个数 = 至少有1个质数平方因子的数 + 至少2个质数平方因子的数 - 至少3个质数平方因子的数……
也就是:奇数个质数平方因子的数 - 偶数个质数平方因子的数。
然后我们发现,那么可以枚举一个d,删除d^2相关,这时候系数也就是μ(d)。当d有奇数个质数因子的时候,删除的是有奇数个质数平方因子中d^2的倍数。
整理成式子也就是:

1 #include<iostream>
2 #include<string>
3 #include<algorithm>
4 #include<cstdio>
5 #include<cstring>
6 #include<cstdlib>
7 #include<cmath>
8 using namespace std;
9 typedef long long s64;
10
11 const int ONE = 44725;
12
13 int T;
14 int n,m;
15 int prime[ONE],miu[ONE],isp[ONE],p_num;
16
17 int get()
18 {
19 int res=1,Q=1; char c;
20 while( (c=getchar())<48 || c>57)
21 if(c==‘-‘)Q=-1;
22 if(Q) res=c-48;
23 while((c=getchar())>=48 && c<=57)
24 res=res*10+c-48;
25 return res*Q;
26 }
27
28 void Getmiu(int MaxN)
29 {
30 miu[1] = 1;
31 for(int i=2; i<=MaxN; i++)
32 {
33 if(!isp[i])
34 isp[i] = 1, prime[++p_num] = i, miu[i] = -1;
35 for(int j=1; j<=p_num, i*prime[j]<=MaxN; j++)
36 {
37 isp[i * prime[j]] = 1;
38 if(i % prime[j] == 0)
39 {
40 miu[i * prime[j]] = 0;
41 break;
42 }
43 miu[i * prime[j]] = -miu[i];
44 }
45 }
46 }
47
48 s64 Check(s64 n)
49 {
50 s64 res = 0 ,Q = sqrt(n);
51 for(int d=1; d<=Q; d++)
52 res += miu[d] * (n/(d*d));
53 return res;
54 }
55
56 void Solve()
57 {
58 n = get();
59 s64 l = 0, r = 2e9;
60 while( l < r-1 )
61 {
62 s64 mid = (l+r)>>1;
63 if(Check(mid) < n) l = mid;
64 else r = mid;
65 }
66
67 if(Check(r) <= n) printf("%d", r);
68 else printf("%d", l);
69 printf("\n");
70 }
71
72 int main()
73 {
74 Getmiu(ONE-1);
75 T = get();
76 while(T--)
77 Solve();
78 }
79
原文:http://www.cnblogs.com/BearChild/p/6658542.html