首页 > 其他 > 详细

Sum BZOJ 3944

时间:2017-04-03 11:26:59      阅读:105      评论:0      收藏:0      [点我收藏+]

Sum

【问题描述】

给定一个正整数 N ( N <= 231 - 1 )

求:

技术分享

【输入格式】

一共T+1行
第1行为数据组数T(T<=10)
第2~T+1行每行一个非负整数N,代表一组询问

【输出格式】

一共T行,每行两个用空格分隔的数ans1,ans2
【样例输入】

6
1
2
8
13
30
2333

【样例输出】

1 1
2 0
22 -2
58 -3
278 -3
1655470 2


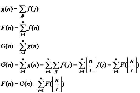
题解:

主要算法:杜教筛;

首先推一波式子

技术分享

 

Sum BZOJ 3944

原文:http://www.cnblogs.com/lytccc/p/6661487.html

(0)
(0)
   
举报
评论 一句话评论(0
关于我们 - 联系我们 - 留言反馈 - 联系我们:wmxa8@hotmail.com
© 2014 bubuko.com 版权所有
打开技术之扣,分享程序人生!