问题
对于一个序列预测问题:
(1)输入的时间变化序列:
(2)在t时刻通过模型预测下一时刻,即:

难点
(1)内部状态难以建模、观察
(2)长时间窗口内的状态难以建模、观察
建模思路
(1)引入内部的隐状态变量


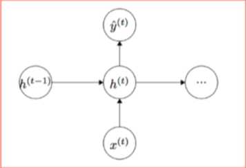
simple RNN
rnn的基本结构如下:

前向传播


是t时刻输入
是状态层,在0时刻初始化
函数是激励函数(sigmoid, tanh)
是输出层函数(softmax多分类)
代价函数:

模型的参数:
(1)
:将向量从hidden_dim变换到hidden_dim
(2)
:将向量从input_dim变换到hidden_dim
(3)
:将向量从hidden_dim变换到output_dim
(4)
:bias向量
模型训练:BPTT (back propagation through time)
bptt算法的基本思想是:把所有时刻的误差累加起来,成为一个梯度。




从这个迭代式子里可以看到,每个时刻的梯度由当前时刻前的一系列时刻决定
梯度消失现象
对于sigmoid函数,当值接近0或1时,梯度接近0,梯度消失
前向传播






基本框架
(1)Encoder对输入序列
进行编码,即


是
时刻的隐状态;
是Encoder的输出向量
和
时刻之前的隐状态,预测当前时刻的状态,并输出。也即:

是当前的隐状态,
为Encoder的输出向量
attention机制
区别:对传统的Decoder进行调整,引入context vector
,也即

由如下归一化得到:

输出序列的位置,
为输入序列的位置,也即对输入序列和输出序列的位置对应关系进行了建模。
为alignment model
原文:http://www.cnblogs.com/zjgtan/p/6708435.html