本章会先对图的深度优先搜索和广度优先搜索进行介绍,然后再给出C/C++/Java的实现。
目录
1. 深度优先搜索的图文介绍
1.1 深度优先搜索介绍
1.2 深度优先搜索图解
2. 广度优先搜索的图文介绍
2.1 广度优先搜索介绍
2.2 广度优先搜索图解
3. 搜索算法的源码
1. 深度优先搜索介绍
图的深度优先搜索(Depth First Search),和树的先序遍历比较类似。
它的思想:假设初始状态是图中所有顶点均未被访问,则从某个顶点v出发,首先访问该顶点,然后依次从它的各个未被访问的邻接点出发深度优先搜索遍历图,直至图中所有和v有路径相通的顶点都被访问到。 若此时尚有其他顶点未被访问到,则另选一个未被访问的顶点作起始点,重复上述过程,直至图中所有顶点都被访问到为止。
显然,深度优先搜索是一个递归的过程。
2. 深度优先搜索图解
2.1 无向图的深度优先搜索
下面以"无向图"为例,来对深度优先搜索进行演示。

对上面的图G1进行深度优先遍历,从顶点A开始。

第1步:访问A。
第2步:访问(A的邻接点)C。
在第1步访问A之后,接下来应该访问的是A的邻接点,即"C,D,F"中的一个。但在本文的实现中,顶点ABCDEFG是按照顺序存储,C在"D和F"的前面,因此,先访问C。
第3步:访问(C的邻接点)B。
在第2步访问C之后,接下来应该访问C的邻接点,即"B和D"中一个(A已经被访问过,就不算在内)。而由于B在D之前,先访问B。
第4步:访问(C的邻接点)D。
在第3步访问了C的邻接点B之后,B没有未被访问的邻接点;因此,返回到访问C的另一个邻接点D。
第5步:访问(A的邻接点)F。
前面已经访问了A,并且访问完了"A的邻接点B的所有邻接点(包括递归的邻接点在内)";因此,此时返回到访问A的另一个邻接点F。
第6步:访问(F的邻接点)G。
第7步:访问(G的邻接点)E。
因此访问顺序是:A -> C -> B -> D -> F -> G -> E
2.2 有向图的深度优先搜索
下面以"有向图"为例,来对深度优先搜索进行演示。

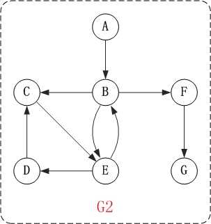
对上面的图G2进行深度优先遍历,从顶点A开始。

第1步:访问A。
第2步:访问B。
在访问了A之后,接下来应该访问的是A的出边的另一个顶点,即顶点B。
第3步:访问C。
在访问了B之后,接下来应该访问的是B的出边的另一个顶点,即顶点C,E,F。在本文实现的图中,顶点ABCDEFG按照顺序存储,因此先访问C。
第4步:访问E。
接下来访问C的出边的另一个顶点,即顶点E。
第5步:访问D。
接下来访问E的出边的另一个顶点,即顶点B,D。顶点B已经被访问过,因此访问顶点D。
第6步:访问F。
接下应该回溯"访问A的出边的另一个顶点F"。
第7步:访问G。
因此访问顺序是:A -> B -> C -> E -> D -> F -> G
1. 广度优先搜索介绍
广度优先搜索算法(Breadth First Search),又称为"宽度优先搜索"或"横向优先搜索",简称BFS。
它的思想是:从图中某顶点v出发,在访问了v之后依次访问v的各个未曾访问过的邻接点,然后分别从这些邻接点出发依次访问它们的邻接点,并使得“先被访问的顶点的邻接点先于后被访问的顶点的邻接点被访问,直至图中所有已被访问的顶点的邻接点都被访问到。如果此时图中尚有顶点未被访问,则需要另选一个未曾被访问过的顶点作为新的起始点,重复上述过程,直至图中所有顶点都被访问到为止。
换句话说,广度优先搜索遍历图的过程是以v为起点,由近至远,依次访问和v有路径相通且路径长度为1,2...的顶点。
2. 广度优先搜索图解
2.1 无向图的广度优先搜索
下面以"无向图"为例,来对广度优先搜索进行演示。还是以上面的图G1为例进行说明。

第1步:访问A。
第2步:依次访问C,D,F。
在访问了A之后,接下来访问A的邻接点。前面已经说过,在本文实现中,顶点ABCDEFG按照顺序存储的,C在"D和F"的前面,因此,先访问C。再访问完C之后,再依次访问D,F。
第3步:依次访问B,G。
在第2步访问完C,D,F之后,再依次访问它们的邻接点。首先访问C的邻接点B,再访问F的邻接点G。
第4步:访问E。
在第3步访问完B,G之后,再依次访问它们的邻接点。只有G有邻接点E,因此访问G的邻接点E。
因此访问顺序是:A -> C -> D -> F -> B -> G -> E
2.2 有向图的广度优先搜索
下面以"有向图"为例,来对广度优先搜索进行演示。还是以上面的图G2为例进行说明。

第1步:访问A。
第2步:访问B。
第3步:依次访问C,E,F。
在访问了B之后,接下来访问B的出边的另一个顶点,即C,E,F。前面已经说过,在本文实现中,顶点ABCDEFG按照顺序存储的,因此会先访问C,再依次访问E,F。
第4步:依次访问D,G。
在访问完C,E,F之后,再依次访问它们的出边的另一个顶点。还是按照C,E,F的顺序访问,C的已经全部访问过了,那么就只剩下E,F;先访问E的邻接点D,再访问F的邻接点G。
因此访问顺序是:A -> B -> C -> E -> F -> D -> G
这里分别给出"邻接矩阵无向图"、"邻接表无向图"、"邻接矩阵有向图"、"邻接表有向图"的C/C++/Java搜索算法源码。这里就不再对源码进行说明,please RTFSC;参考源码中的注释进行了解。
1. C语言源码
1.1 邻接矩阵实现的无向图(matrixudg.c)
1.2 邻接表实现的无向图(listudg.c)
1.3 邻接矩阵实现的有向图(matrixdg.c)
1.4 邻接表实现的有向图(listdg.c)
2. C++源码
2.1 邻接矩阵实现的无向图(MatrixUDG.cpp)
2.2 邻接表实现的无向图(ListUDG.cpp)
2.3 邻接矩阵实现的有向图(MatrixDG.cpp)
2.4 邻接表实现的有向图(ListDG.cpp)
3. Java源码
3.1 邻接矩阵实现的无向图(MatrixUDG.java)
3.2 邻接表实现的无向图(ListUDG.java)
3.3 邻接矩阵实现的有向图(MatrixDG.java)
3.4 邻接表实现的有向图(ListDG.java)
原文:http://www.cnblogs.com/attitudeY/p/6790224.html