1.Linear Regression with One variable
Linear Regression is supervised learning algorithm, Because the data set is given a right answer for each example.
And we are predicting real-valued output so it is a regression problem.
Block Diagram:


2. Cost Function
Idea: choose Θ0 and Θ1 so that h(x) is close to y for our training example
cost function:
(it a bow-shaped function )
So it became a mathematical problem of minimizing the cost function (Squared error funciton)
3. Gradient Descent
we are using gradient descent to minimize the cost function
Process:
1. Start with some random choice of the theta vector
2. Keep changing the theta vector to reduce J(theta) Until we end up at a minimum
Repeat until convergence:
(the derivative term is the slope of the cost function)
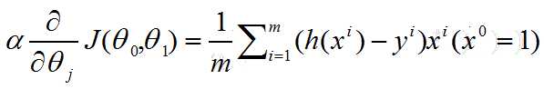
alpha is the learning rate And we need to a aimultaneous update for the theta vector.
1. If alpha is too small, the gradient descent is small
2. If alpha is too larger, gradient descent, it will overshoot the minimum, it may fail to converge.
And taking the derivative, we can get:

Convex function: a bow-shaped function just like the cost function J(theta)
Batch gradient descent: each step of gradient descent uses all the training examples(sum over all the training sample)
机器学习笔记-1 Linear Regression(week 1)
原文:http://www.cnblogs.com/climberclimb/p/6790777.html