对于线性不可分的数据资料,用线性模型分类,Ein会很大,相应的Ein=Eout的情况下,Eout也会很大,导致模型表现不好,此时应用非线性模型进行分类,例如:


分类器模型是一个圆形,假设模型可表示为
转化表示形式
将平方项和常数项转为一次的Z项,则将非线性的特征空间转化为线性的特征空间
可以用线性模型进行分类


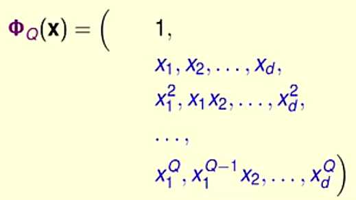
对于把Q次方的多项式进行全部的一次转换,转换的项数一共为
,转换过后的一次模型的dvc等于总的项数,
总的项数为
,其中d为特征向量的长度
选择合适的转换项数,项数越多代表模型越复杂,但不要为了减少dvc,人为的在脑袋里加工转换特征,例如
,
在上述各种转化中,有dvc为2的甚至为1的,但都是进过自己脑海中转化过的特征,不可取
对于不同的Q次方的情况,有如下结果:

,高次对低次具有包含的关系

Ein随着Q的次方增大会减少
,但过高的Q次方会带来Eout的增大,不具有泛化能力,做模型建立是首先考虑线性的模型,如果它做的好的话那就很好(Ein和Eout都很小),若不好(Ein始终很大),在选择高次方的模型
原文:http://www.cnblogs.com/zsw900610/p/6842762.html