前面一直在哔哔数论,是不是感觉很烦的慌了??
╮(╯▽╰)╭唉,你不烦得慌我都烦得慌了!
既然这样,那我们就改个话题,今天我们就讲讲图论。
有的同学就要问图又是个什么鬼?
难道是这个吗? 还是这个???


哎呀,身为c++选手,我们肯定说的不是这些东西了对吧!
我们信息学上所说的图是指一个有序的二元组(V,E),V是顶点的集合,E是边的集合,E中的每一个元素都用一个二元组(x,y)来表示,其中x,y∈v。
这么说是不是有点太枯燥?
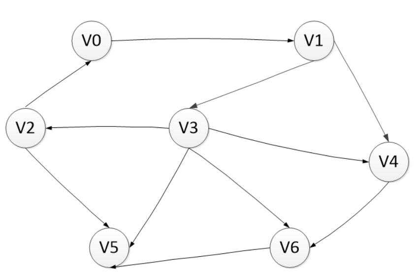
好,那我们下面来看一个我们所说的图。

有人又要说了:这是什么鬼,那么丑,这是个什么图?!
呵呵,很不幸,我们以后说的图都是这个那么恶心的东西。
one。图的相关概念:
有向图:图当中所有的边都是有向的,比如说:就表示1可以直接连接到达2,但2并不能直接到达1,除非有另一条边2——>1.
无向图:图当中的所有便都是无向的,也就是说如果v1可以到达v2的话,那么v2也一定能到达v1。
连通图:无向图中的两个点都是能相互到达的。
对于这个图来说他是个无向连通图。
这是个有向图。
自环:存在从一个点指向其自身的边称为一个自环。比如说存在一条边1——>1,那么这个图中存在自环。
重边:如果存在两条不同的边连接两个相同的节点(如果是有向图就要求起点相同,终点相同),那么这个图中就存在重边。
简单图:指不含有自环和重边的图。
这就是个无权图。
而这是个有权图。
#include<stdio.h> #include<cstdlib> #include<cstring> #include<iostream> #include<algorithm> #define N 10000 using namespace std; int e[N][N],vis[N]; int n,m,a,b,c; void bfs(int x) { vis[x]=1; for(int i=1;i<=n;i++) { if(e[x][i]&&!vis[i]) bfs(i); } } int main() { scanf("%d%d",&n,&m);//n个点,m条边 for(int i=1;i<=m;i++) { scanf("%d%d%d",&a,&b,&c); e[a][b]=c;//有向边 } bfs(1); return 0; }
邻接表:
#include<vector> #include<cstdlib> #include<cstring> #include<stdio.h> #include<iostream> #include<algorithm> #define N 100000 #define maxn 123456 using namespace std; int m,n,x,y,z; bool vis[N]; vector<pair<int,int> >vec[N]; void bfs(int x) { vis[x]=1; for(int i=0;i<vec[x].size();i++) { if(!vis[vec[x][i].first]) bfs(vec[x][i].first); } } int main() { scanf("%d%d",&n,&m); for(int i=1;i<=m;i++) { scanf("%d%d%d",&x,&y,&z); vec[x].push_back(make_pair(y,z)); } bfs(1); return 0; }
原文:http://www.cnblogs.com/z360/p/6844509.html