首页 > 其他 > 详细

<tf-idf + 余弦相似度> 计算文章的相似度

时间:2017-06-04 16:12:40      阅读:364      评论:0      收藏:0      [点我收藏+]
背景知识:
(1)tf-idf
按照词TF-IDF值来衡量该词在该文档中的重要性的指导思想:如果某个词比较少见,但是它在这篇文章中多次出现,那么它很可能就反映了这篇文章的特性,正是我们所需要的关键词。
tf–idf is the product of two statistics, term frequency and inverse document frequency.
     //Various ways for determining the exact values of both statistics exist.
tf–idf= tf×idf
In the case of the term frequency tf(t,d), the simplest choice is to use the raw frequency of a term in a document, i.e. the number of times that term t occurs in document d.
Other possibilities include:
- Boolean "frequencies": tf(t,d) = 1 if t occurs in d and 0 otherwise;
- logarithmically scaled frequency: tf(t,d) = 1 + log f_t,d, or zero if ft,d is zero;
- augmented frequency, to prevent a bias towards longer documents, e.g. raw frequency divided by the maximum raw frequency of any term in the document:
          tf(t,d)=0.5+0.5*f_t,d/max(f_t‘d)
The inverse document frequency is a measure of how much information the word provides, that is, whether the term is common or rare across all documents.
技术分享
 技术分享

 

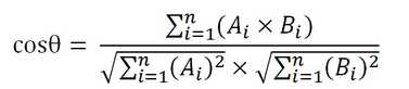
(2)余弦相似度
余弦值的范围在[-1,1]之间,值越趋近于1,代表两个向量的方向越接近;越趋近于-1,他们的方向越相反;接近于0,表示两个向量近乎于正交。
技术分享
 技术分享

 


计算过程:
(1)使用TF-IDF算法,找出两篇文章的关键词;
(2)每篇文章各取出若干个关键词(为公平起见,一般取的词数相同),合并成一个集合,计算每篇文章对于这个集合中的词的词频(注1:为了避免文章长度的差异,可以使用相对词频;注2:这一步选出的不同词的数量决定了词频向量的长度);
(3)生成两篇文章各自的词频向量(注:所有文章对应的词频向量等长,相同位置的元素对应同一词);
(4)计算两个向量的余弦相似度,值越大就表示越相似。
Note that: tf-idf值只在第一步用到。
举例说明:
文章A:我喜欢看小说。
文章B:我不喜欢看电视,也不喜欢看电影。
第一步: 分词
    文章A:我/喜欢/看/小说。
    文章B:我/不/喜欢/看/电视,也/不/喜欢/看/电影。
第二步,列出所有的词。
     我,喜欢,看,小说,电视,电影,不,也。
第三步,计算词频tf。
  文章A:我 1,喜欢 1,看 1,小说 1,电视 0,电影 0,不 0,也 0。
  文章B:我 1,喜欢 2,看 2,小说 0,电视 1,电影 1,不 2,也 1。
第四步,计算逆文档频率idf。
  文章A:我 0,喜欢 0,看 0,小说 1,电视 1,电影 1,不 1,也 1。
  文章B:我 0,喜欢 0,看 0,小说 1,电视 1,电影 1,不 1,也 1。
第五步:计算tf-idf
  文章A:我 0,喜欢 0,看 0,小说 1,电视 0,电影 0,不 0,也 0。
  文章B:我 0,喜欢 0,看 0,小说 0,电视 1,电影 1,不 1,也 1。
第六步:选择每篇文章的关键词(这里选tf-idf排名前3的词作为关键词(至于并列大小的随机选))
  文章A:我 0,喜欢 0,小说 1
  文章B:电视 1,电影 1,不 1
第七步:构建用于计算相似度的词频向量(根据上一步选出的词:我,喜欢,小说,电视,电影,不)
   文章A:[1 1 1 0 0 0]
   文章B: [1 2 0 1 1 2]
第八步:计算余弦相似度值
     3/sqrt(33)= 0.5222329678670935
 
references:

<tf-idf + 余弦相似度> 计算文章的相似度

原文:http://www.cnblogs.com/wxiaoli/p/6940702.html

(0)
(0)
   
举报
评论 一句话评论(0
关于我们 - 联系我们 - 留言反馈 - 联系我们:wmxa8@hotmail.com
© 2014 bubuko.com 版权所有
打开技术之扣,分享程序人生!